Журнал первичного обследования детей логопедом доу образец. Журнал первичного обследования детей логопедом
Журнал первичного обследования по логопедии
Муниципальное казённое общеобразовательное учреждение Тогучинского района «Тогучинская школа для обучающихся с ОВЗ»
Журнал первичного обследования речи
и консультации детей
Р-лнарушено
Ниже нормы
нарушено
Нарушение формирования процессов чтения и письма, обусловленные ФФНР
10
Туйгин Дима
4-ый год обучения
Готическое нёбо
малоподвижен
нарушено
нарушено
Речь непонятна окружающим
нарушено
Нарушение процессов чтения и письма, обусловленные СНР 2ур реч развития
11
Шалаев Никита
3-ий год обучения
норма
малоподвижен
Шипящие заменяет свистящими
нарушено
Ниже нормы
нарушено
Трудности формирования процессов чтения и письма, обусловленные ФФНР
12
Васильев Игорь
7-ой год обучения
Готическое нёбо
норма
нарушено
нарушено
Речь непонятна окружающим
нарушено
Дизорфография
13
Васильев Влад
8-ой год обучения
Готическое нёбо
норма
нарушено
нарушено
Речь непонятна окружающим
нарушено
Дизорфография
14
Логинов Сергей
6-ой год обучения
Готическое нёбо
малоподвижен
нарушено
нарушено
Речь непонятна окружающим
нарушено
Дизорфография СНР
15
Пестикова Катя
6-ой год обучения
Готическое нёбо
норма
нарушено
нарушено
Ниже нормы
нарушено
Дизорфография
16
Зима Настя
2кл
норма
малоподвижен
нарушено
нарушено
Ниже нормы
нарушено
Трудности формирования процессов чтения и письма, обусловленные ФФНР
17
Ставский Тимофей
3кл
Готическое нёбо
норма
нарушено
нарушено
Беден и мал
нарушено
Дисграфия на почве нарушения языкового анализа и синтеза
18
Стародубов Пётр
3кл
норма
норма
нарушено
На бытовом уровне
нарушено
Дисграфия на почве нарушения языкового анализа и синтеза
19
15.09.16
Поддубный Иван
5кл
Готическое нёбо
норма
нарушено
нарушено
Речь непонятна окружающим
нарушено
Нарушение процессов чтения и письма, обусловленные СНР 1-2 ур речевого развития
20
16.09.16
Выдайко Сергей
6кл
норма
норма
норма
нарушено
На бытовом уровне
нарушено
Дизорфография
21
16.09.16
Красноружских Анна
6кл
Готическое нёбо
норма
нарушено
нарушено
Речь непонятна окружающим
нарушено
Дизорфография
22
16.09.16
Ярославцев Данил
6кл
норма
норма
нарушено
нарушено
На бытовом уровне
нарушено
Дизорфография
infourok.ru
Журнал первичного логопедического обследования
Журнал первичного логопедического
обследования детей
МБОУ СОШ №*
Первичное обследование детей 20__ - 20__ уч.год
возраст
Фонетические нарушения
Фонематические нарушения
Слоговая структура
Словарь
Граммстрой
Связная речь
Письмо
Чтение
Ведущая рука
Рекомендации
Заключение
1
2
3
4
5
6
7
8
9
10
11
12
13
14
15
16
17
18
19
20
21
22
23
24
25
26
27
28
29
Класс:
Классный руководитель:
Первичное обследование детей 20__ - 20__ уч.год
возраст
Фонетические нарушения
Фонематические нарушения
Слоговая структура
Словарь
Граммстрой
Связная речь
Письмо
Чтение
Ведущая рука
Рекомендации
Заключение
1
2
3
4
5
6
7
8
9
10
11
12
13
14
15
16
17
18
19
20
21
Класс:
Классный руководитель:
infourok.ru
Логопедическая диагностика в школе
Логопедическая диагностика в школе
Содержание первичного обследования устной речи
Работа учителя-логопеда общеобразовательной школы достаточно актуальна и многогранна. Из года в год в начальные классы массовых школ попадает большое количество детей, имеющих отклонения в развитии устной и письменной речи, что, в свою очередь, препятствует успешному овладению этой категорией учащихся основными предметами школьной программы.
Систему работы учителя-логопеда при общеобразовательной школе можно представить следующим образом (схема 1).
Приведенная схема показывает, что система работы школьного логопеда включает в себя следующие основные направления:
• диагностика — обследование состояния устной и письменной речи;
• коррекционно-развивающий процесс, представленный логопедическими занятиями;
• консультативно-профилактическая работа;
• работа по повышению квалификации и самообразование и др.
Каждое из этих направлений по-своему важно и решает определенные задачи.
Диагностика представляет собой такое обследование речи, которое дает представление о состоянии речевого развития ребенка и позволяет учителю-логопеду определить вид речевой патологии, ее форму и степень тяжести речевого дефекта.
Основными задачами диагностики являются: • выявление отклонений в развитии устной и письменной форм речи;
• определение структуры речевого дефекта;
• формулировка речевого диагноза;
• составление программы коррекционной работы. Актуальность этого направления работы заключается в том, что от своевременной квалифицированной диагностики зависит программа коррекционного воздействия, а в конечном итоге и результативность логопедической работы с детьми.
Согласно Положению о логопедических пунктах и Инструктивно-методическому письму о работе учителя-логопеда при общеобразовательной школе, выявление учащихся с речевой патологией осуществляется два раза в год: с 1 по 15 сентября и с 15 по 31 мая. Обследование состояния письма осуществляется и в каникулярное время. Результаты обследования фиксируются в журнале обследования устной и письменной речи (табл. 1).
Для заполнения журнала используются следующие условные обозначения:
Ф.П. — фонематические процессы;
З.Б.А. — звуко-буквенный анализ;
Г.С.Р. — грамматический строй речи;
ОНР — общее недоразвитие речи;
ФФН — фонетико-фонематическое недоразвитие речи;
ФНР — фонетическое недоразвитие речи;
НЧиП- нарушения чтения и письма;
м/з - межзубное произношение;
г/з - - губно-зубное произношение;
г/г-- губно-губное произношение;
гор л. - горловое произношение;
бок. - боковое произношение;
одн.- одноударное произношение;
н/а - -неавтоматизированное произношение;
v - наличие "ошибок;
• — единичные ошибки;
!— стойкие, часто встречающиеся ошибки.
Такой журнал ведется на каждый класс. Это позволяет получить не только подробную информацию о речевом развитии каждого конкретного учащегося, но и позволяет увидеть полную речевую характеристику всех учеников того или иного класса, что во многом помогает сотрудничать с учителями и осуществлять консультативно-просветительскую работу с родителями как индивидуально, так и на родительских собраниях. Кроме того, такой журнал позволяет контролировать передвижения учащихся и отслеживать динамику и результативность логопедической работы.
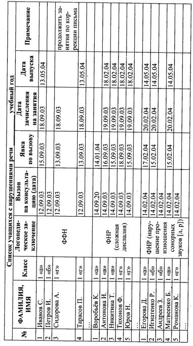
Все учащиеся с выявленными в результате обследования нарушениями речи регистрируются в списке, который мы предлагаем вести следующим образом (табл. 2). Список целесообразно вести по параллелям (1, 2, 3, 4-е классы) и по сходству речевого дефекта. Такой способ помогает контролировать статистические данные о количестве учащихся с различными видами речевой патологии, а также комплектовать группы с учетом структуры дефекта и возраста учащихся. Предложенная форма также облегчает учителям-логопедам составление ежегодных цифровых отчетов.
На каждого ребенка, зачисленного на логопедические занятия, учитель-логопед заполняет речевую карту. Методическое объединение учителей-логопедов общеобразовательных школ г. Новороссийска предлагает следующий вариант речевой карты (см. ниже).

![]() |
![]() |



Первая страница речевой карты заполняется логопедом в присутствии родителей или лиц, их заменяющих. Она содержит общие сведения о ребенке, которые записываются со слов родителей. Вторая страница заполняется логопедом во время индивидуального обследования и дополняется в течение всего периода обучения на логопункте. К речевой карте прилагаются диагностические письменные работы учащихся, которые демонстрируют состояние письма и позволяют отслеживать динамику в процессе логопедических занятий. В речевой карте фиксируюся все проявления речевой недостаточности каждого учащегося, выявленные в процессе обследования.
Заполнение речевой карты начинается с паспортных данных ребенка. Затем выясняется реальный уровень знаний учащегося по родному языку и другим предметам. В случаях сложных речевых дефектов эти данные могут оказаться очень важны как для определения точного логопедического заключения, так и для установления первичности или вторичности речевого недоразвития.
Анамнестические данные учащихся заполняются со слов родителей. В ходе беседы важно получить представление о том, как протекало раннее речевое и физическое развитие ребенка. Выясняется, обращались ли ранее за логопедической помощью; если да, то какова эффективность. Фиксируются особенности речевой среды.
Прежде чем начать обследование речи, учитель-логопед должен убедиться в сохранности других функций (слуха и зрения) и отразить полученные данные в речевой карте. Также при обследовании учитель-логопед обращает внимание на строение и подвижность артикуляционного аппарата (губ, зубов, языка, нёба, прикуса), на четкость и внятность речи; выявляет уровень сформированности всех сторон речи: звукопроизношения, фонематических процессов и навыков звуко-буквенного анализа и синтеза, грамматического строя речи и словарного запаса.
Подробно анализируются и фиксируются все виды и характер ошибок при чтении и письме; в речевой карте отражаются примеры допускаемых ребенком ошибок. Особое внимание обращается на личностные и поведенческие особенности учащихся: способность к переключению, наблюдательность, организованность, самостоятельность, подвижность, импульсивность и т. д.
На учащихся, имеющих фонетические нарушения, можно оформлять сокращенный вариант речевой карты, которая выглядит следующим образом (см. ниже).
Содержание первичного обследования устной речи
Употребление антонимов.
| веселый — ... здоровый — ... горький — ... горячий — ... узкий — ... чистый — ... острый — ... мокрый — ... | молодой — ... большой — ... толстый — ... высокий — ... длинный — ... сильный — ... прямой — ... открытый — ... |
Подбор слов-синонимов.
беда — ... спешить — ...
радость — ... бороться — ...
Подбор родственных слов.
сад — ... соль — ... .
боль — ... земля — ...
Дополнить фразу.
В магазине работает...
Границу охраняет...
Стол накрыт...
Разносит письма, журналы...
9. Назвать детенышей:
| у кошки — ... у утки — ... у собаки — ... у медведя — ... у свиньи — ... у овцы — ... | у лисы — ... у козы— ... у тигра — ... у лошади — ... у курицы — ... у коровы — ... |
Образование прилагательных от существительных.
зима — зимний дуб — дубовый
липа — ... утро — ...
лимон — ... лиса — ...
мясо — ... птица — ...
молоко — ...
Образование относительных прилагательных от существительных.
Как называется сок из: яблок — ...
апельсинов — ...
клубники — ...
Суп из: рыбы — ...
грибов — ...
курицы — ...
Образование притяжательных прилагательных. Чья голова, чей хвост?
Голова лисья, а хвост...
Голова беличья, а хвост...
Голова волчья, а хвост...
Голова медвежья, а хвост...
Образование глаголов с помощью приставок.
Ходит — уходит, приходит, заходит, выходит, отходит, переходит, подходит...
Шить — зашить, подшить, пришить, вышить, перешить...
Составить предложение с каждым из слов, используя приставки: в-, при-, за-, пере-.
Летел, шёл, писал.
Кошка и птичка
Спала кошка на крыше. Села возле кошки птичка. Не сиди близко, птичка, кошки хитры.
В зависимости от возраста подбирается соответствующий текст.
9. Списать рукописный текст (2 класс, начало учебного года).
Щенок
У Жучки родились щенки. Маша и Петя взяли одного. Щенок громко скулил. Дети накормили щенка.
Для учащихся других классов используются более сложные и объемные тексты.
10. Написать диктант (2 класс, начало учебного года).
Кот
У Миши жил кот. Звали кота Рыжик. Хвост у Рыжика пушистый. Мальчик часто играл с котом. Они были друзья.
Тексты диктантов, как и в предыдущем задании, подбираются в соответствии с возрастом и продолжительностью обучения.
Записать названия картинок.

12. Составить и записать короткий рассказ по картинке или серии сюжетных картинок.Учащиеся могут выполнять предложенные задания на индивидуальном бланке.

Проверка навыков письма
Фамилия, имя________________________________класс_______.
1. Спиши слова, написанные рукописным шрифтом:
лещ, жук, снег, бант, мышка, песец, коньки, зебра, дятел, муха, вагон, майка, осень, вечер, жёлудь, вагон, индюк, бабочка.
__________________________________________________________________________________________________________________
2.Спиши следующие слова:
плащ, крот, аист, флажок, насекомое, берёзка, лесенка, ученик, трещина, веселье.
__________________________________________________________________________________________________________________
3. Запиши под диктовку строчные буквы:
____________________________________________________________________
4. Запиши под диктовку прописные буквы:
____________________________________________________________________
5. Запиши под диктовку слоги:
____________________________________________________________________
6. Запиши под диктовку слова:
____________________________________________________________________
7. Запиши предложение после однократного прослушивания:
____________________________________________________________________
8. Спиши рукописный текст (2 класс, начало учебного года).
Щенок
У Жучки родились щенки. Маша и Петя взяли одного. Щенок громко скулил. Дети накормили щенка.
__________________________________________________________________________________________________________________________________________
9. Спиши печатный текст (2 класс, начало учебного года).
Кошка и птичка
Спала кошка на крыше. Села возле кошки птичка. Не сиди близко, птичка, кошки хитры.
__________________________________________________________________________________________________________________________________________
10. Напиши диктант.
__________________________________________________________________________________________________________________________________________
11. Напиши названия картинок:
__________________________________________________________________________________________________________________________________________
12. Составь и запиши короткий рассказ по картинке.
__________________________________________________________________________________________________________________________________________
Диагностические диктанты
Для проверки навыков письма
(предложены в работах И.Н.Садовниковой, Л. И, Тикуновой)
В лесу
Вот большой лес. За лесом река. Там гуляют дети. И цибик тут. Зоя и Женя ищут грибы. Юра и Яша нашли ежа.
На реке
Было лето. Зоя и Саша пошли на речку. Зоя рвала цветы на лугу. Саша удочкой ловил рыбу. Вот Женя. У Жени щука.
Кот
У Миши жил кот. Звали кота Рыжик. Хвост у Рыжика пушистый. Мальчик часто играл с котом. Они были друзья.
Клён
У дома рос клён. На ветки клёна сели птицы. Это галки. Серёжа дал им крошки хлеба и зерна.
На лугу
Ксюша была на лугу. Кругом высокая трава. На белую кашку сел шмель. Он грозно гудел. Девочка не испугалась его.
У моря
Я жил у моря. Меня будил шум волн. Днём я любил наблюдать за их игрой. Красивы были белые гребни.
Школа
Вот наша школа. У входа в школу растут пышные астры. На клумбах растут чудные розы. Я люблю свою школу.
Утки
Плавают утки. Ольга и Алёша кидают птицам кусочки хлеба. Скоро птицы покинут пруд. Они улетят в тёплые края.
Встреча
Коля ловил рыбу. Зашуршали камыши. На траву выполз уж. Мальчик не тронул его. Уж грелся на солнышке. Ужи не ядовиты.
Тайна
Я иду по лесу. В лесу много тайн и чудес. Вот мелькнул пушистый хвост. Кто это был? Это прыгала белка.
Кот Федя
У Яши был кот Федя. Кот любил играть в кустах. Яша долго искал кота. А он сидел на крыше.
Идёт весна
Солнце светит ярче. Снег потемнел. Кругом большие лужи. На ветках надулись почки. На лужайках зелёная трава. Журчат быстрые ручьи. Идёт весна.
Дети гуляли на лугу. Серёжа и Лера собирали цветы. Саша рвал щавель. У Миши сачок. Он ловит бабочку. Пора обедать. Дети идут домой.
Кошка ловит мышей. Собака сторожит дом. Корова даёт молоко. Лошадь возит грузы. Овцы дают шерсть и мясо. Мех кролика идёт на шубы и шапки.
Машина привезла много угля. Углём мы топим печку. Из трубы идёт дым. Зимой стоят сильные морозы. Часто метут метели. А дома всегда тепло.
Весна
Наступил апрель. Рыхлый снег тает. Кругом журчат ручьи. У крыльца большая лужа. Детишки убрали коньки и лыжи. Они пускают кораблики. Все встречают весну.
Дети в лесу
Ребята вышли на лужайку. Хорошо весной в лесу! Зацвёл душистый ландыш. Щебечут птицы. Дети увидели ежа. Он свернулся в клубочек. Ребята не тронут ёжика.
Скоро осень
Приближалась осень. Чаще стали выпадать дожди. Земля в саду уже усыпана жёлтыми листьями. Реже слышны голоса певчих птиц. Они готовятся к перелёту в тёплые края.
Избушка лесника
В лесу жил лесник. У лесника была внучка Саша. Саше было хорошо с дедушкой. Кругом была тишина. Только журчал ручей и пели птицы. В траве трещали кузнечики.
На дачу
Дети едут на дачу. Они будут жить у бабушки. Там есть роща. За рощей речка. Мальчики будут ловить рыбу, девочки собирать цветы.
Птицы
Наступил декабрь. Выпал пушистый снег. Он покрыл землю пушистым ковром. Замёрзла речка. Птицам голодно. Они ищут себе пищу. Дети кладут в кормушку хлеб и зёрна. Летом посевам нужна защита. Птицы спасут урожай.
На охоту
Утром я с ружьём и собакой отправился в рощу. Стояла чудная тишина. За сто шагов было слышно, как белка прыгала по сухим сучкам. Воздух свежий, пахучий приятно щипал глаза и щёки. Тонкая паутина вытягивалась по воздуху. Это знак тёплой погоды.
Кто как зиму встретил
Летучие мыши забрались в дупло. Ёж прикрылся сухими листьями. Лягушки зарылись в мох. Медведь спит в берлоге. Белка сменила на зиму шубку и починила своё дупло. Лисица в норе себе из листьев постель сделала.
Скоро каникулы
Скоро каникулы. Дети поедут в лагерь. Уже объявили день отъезда. Саша останется дома и будет ходить на детскую площадку. Серёжа уедет в деревню. Там очень хорошо. В выходной его родители поедут туда. Там много цветов.
Отважный поступок
Саша Жуков шёл из школы домой. Высоко в небе пели жаворонки. Дорога проходила по берегу речки. Вдруг Саша увидел, что тонет маленький мальчик. Он в одежде бросился в воду и вытащил мальчика. На другой день все узнали о поступке школьника. На линейке Саше объявили благодарность.
Класс
Мышки
Собрались старые и малые мышки у норки. Уши у них кверху торчат, слушают. Кот Вася у печки лежит, поджидает мышек.
Кошка и птичка
Спала кошка на крыше. Села возле кошки птичка. Не сиди близко, птичка, кошки хитры.
(По Л. Толстому)
Осень
Вот и сентябрь. Чист и свеж воздух. Далеко слышны в лесу звуки. На старых больших пнях жмутся тонкие опята.
Класс
Москва
Много лет назад на высоком холме построили маленькую крепость. Шли годы. Крепость росла и богатела. По берегам реки Москва строились всё новые и новые дома. Много товаров привозили торговые люди, купцы. Крепость стала великим городом — Москвой.
Ясная Поляна
Много на Руси красивых мест. Вот Ясная Поляна. Здесь родился и провёл почти всю жизнь Лев Николаевич Толстой. Здесь он посадил берёзовую рощу. Хороша роща ранней осенью! Вся она стоит золотая. Это было любимое место писателя. Он здесь отдыхал и работал.
Незнайка и жук
Однажды Незнайка гулял по городу и забрёл в поле. В это время мимо летел майский жук. Он сослепу нале-
тел на Незнайку и ударил его по затылку. Незнайка упал на землю. Жук скрылся. Незнайка встал и осмотрелся по сторонам. Кругом было тихо.
(По Н. Носову)
Класс
В Царском Селе
Александр Сергеевич Пушкин учился в лицее, который находился в Царском Селе под Петербургом. Прекрасный обширный парк начинался прямо под окнами лицея. В тяжёлой листве дубов и лип свободно играли солнечные лучи. Среди зелени белели мраморные статуи. Повсюду слышалось птичье пение. Тихо плескалась вода в озере. Пушкин очень любил этот старинный парк и часто гулял в нём.
Владимир Иванович Даль
Владимир Иванович Даль был талантливым и трудолюбивым человеком. В его словаре более двухсот тысяч слов, тридцать тысяч пословиц, поговорок, загадок. Собирая материал для своего словаря, Даль исколесил всю Россию. Он был даже в Сибири и на Урале. Владимир Иванович любил и понимал родной язык, умел видеть красоту в живом русском слове. Даль был большим другом Пушкина.
Октябрь
Русское старинное наименование октября - «гряз-ник». Осенние дожди с мокрым снегом превращали землю в месиво. На Руси октябрь также величали «листо-боем», «золотой осенью», так как он приходится на время пожелтения листвы.
А сколько осенних примет было на Руси! «Поздний листопад-- к суровой зиме». «Ива рано серебристым инеем покрылась — долгая зима будет».
По результатам обследования учитель-логопед анализирует характер и виды ошибок, допускаемых учащимися, и комплектует учебные группы, составляет расписание занятий, разрабатывает коррекционную программу и проводит логопедические занятия.
Логопедическая диагностика в школе
Содержание первичного обследования устной речи
Работа учителя-логопеда общеобразовательной школы достаточно актуальна и многогранна. Из года в год в начальные классы массовых школ попадает большое количество детей, имеющих отклонения в развитии устной и письменной речи, что, в свою очередь, препятствует успешному овладению этой категорией учащихся основными предметами школьной программы.
Систему работы учителя-логопеда при общеобразовательной школе можно представить следующим образом (схема 1).
Приведенная схема показывает, что система работы школьного логопеда включает в себя следующие основные направления:
• диагностика — обследование состояния устной и письменной речи;
• коррекционно-развивающий процесс, представленный логопедическими занятиями;
• консультативно-профилактическая работа;
• работа по повышению квалификации и самообразование и др.
Каждое из этих направлений по-своему важно и решает определенные задачи.
Диагностика представляет собой такое обследование речи, которое дает представление о состоянии речевого развития ребенка и позволяет учителю-логопеду определить вид речевой патологии, ее форму и степень тяжести речевого дефекта.
Основными задачами диагностики являются: • выявление отклонений в развитии устной и письменной форм речи;
• определение структуры речевого дефекта;
• формулировка речевого диагноза;
• составление программы коррекционной работы. Актуальность этого направления работы заключается в том, что от своевременной квалифицированной диагностики зависит программа коррекционного воздействия, а в конечном итоге и результативность логопедической работы с детьми.
Согласно Положению о логопедических пунктах и Инструктивно-методическому письму о работе учителя-логопеда при общеобразовательной школе, выявление учащихся с речевой патологией осуществляется два раза в год: с 1 по 15 сентября и с 15 по 31 мая. Обследование состояния письма осуществляется и в каникулярное время. Результаты обследования фиксируются в журнале обследования устной и письменной речи (табл. 1).
Для заполнения журнала используются следующие условные обозначения:
Ф.П. — фонематические процессы;
З.Б.А. — звуко-буквенный анализ;
Г.С.Р. — грамматический строй речи;
ОНР — общее недоразвитие речи;
ФФН — фонетико-фонематическое недоразвитие речи;
ФНР — фонетическое недоразвитие речи;
НЧиП- нарушения чтения и письма;
м/з - межзубное произношение;
г/з - - губно-зубное произношение;
г/г-- губно-губное произношение;
гор л. - горловое произношение;
бок. - боковое произношение;
одн.- одноударное произношение;
н/а - -неавтоматизированное произношение;
v - наличие "ошибок;
• — единичные ошибки;
!— стойкие, часто встречающиеся ошибки.
Такой журнал ведется на каждый класс. Это позволяет получить не только подробную информацию о речевом развитии каждого конкретного учащегося, но и позволяет увидеть полную речевую характеристику всех учеников того или иного класса, что во многом помогает сотрудничать с учителями и осуществлять консультативно-просветительскую работу с родителями как индивидуально, так и на родительских собраниях. Кроме того, такой журнал позволяет контролировать передвижения учащихся и отслеживать динамику и результативность логопедической работы.
Все учащиеся с выявленными в результате обследования нарушениями речи регистрируются в списке, который мы предлагаем вести следующим образом (табл. 2). Список целесообразно вести по параллелям (1, 2, 3, 4-е классы) и по сходству речевого дефекта. Такой способ помогает контролировать статистические данные о количестве учащихся с различными видами речевой патологии, а также комплектовать группы с учетом структуры дефекта и возраста учащихся. Предложенная форма также облегчает учителям-логопедам составление ежегодных цифровых отчетов.
На каждого ребенка, зачисленного на логопедические занятия, учитель-логопед заполняет речевую карту. Методическое объединение учителей-логопедов общеобразовательных школ г. Новороссийска предлагает следующий вариант речевой карты (см. ниже).

![]() |
![]() |



Первая страница речевой карты заполняется логопедом в присутствии родителей или лиц, их заменяющих. Она содержит общие сведения о ребенке, которые записываются со слов родителей. Вторая страница заполняется логопедом во время индивидуального обследования и дополняется в течение всего периода обучения на логопункте. К речевой карте прилагаются диагностические письменные работы учащихся, которые демонстрируют состояние письма и позволяют отслеживать динамику в процессе логопедических занятий. В речевой карте фиксируюся все проявления речевой недостаточности каждого учащегося, выявленные в процессе обследования.
Заполнение речевой карты начинается с паспортных данных ребенка. Затем выясняется реальный уровень знаний учащегося по родному языку и другим предметам. В случаях сложных речевых дефектов эти данные могут оказаться очень важны как для определения точного логопедического заключения, так и для установления первичности или вторичности речевого недоразвития.
Анамнестические данные учащихся заполняются со слов родителей. В ходе беседы важно получить представление о том, как протекало раннее речевое и физическое развитие ребенка. Выясняется, обращались ли ранее за логопедической помощью; если да, то какова эффективность. Фиксируются особенности речевой среды.
Прежде чем начать обследование речи, учитель-логопед должен убедиться в сохранности других функций (слуха и зрения) и отразить полученные данные в речевой карте. Также при обследовании учитель-логопед обращает внимание на строение и подвижность артикуляционного аппарата (губ, зубов, языка, нёба, прикуса), на четкость и внятность речи; выявляет уровень сформированности всех сторон речи: звукопроизношения, фонематических процессов и навыков звуко-буквенного анализа и синтеза, грамматического строя речи и словарного запаса.
Подробно анализируются и фиксируются все виды и характер ошибок при чтении и письме; в речевой карте отражаются примеры допускаемых ребенком ошибок. Особое внимание обращается на личностные и поведенческие особенности учащихся: способность к переключению, наблюдательность, организованность, самостоятельность, подвижность, импульсивность и т. д.
На учащихся, имеющих фонетические нарушения, можно оформлять сокращенный вариант речевой карты, которая выглядит следующим образом (см. ниже).
Содержание первичного обследования устной речи
infopedia.su
Карта первичного обследования речи
В коррекционную школу VIII вида обучающиеся поступают в течение всего учебного года.
Логопедические группы формируются в сентябре, но логопед проводит обследование речи всех вновь поступивших детей и определяет вид логопедической помощи, если ребенок в ней нуждается.
Предлагаю на этом этапе пользоваться картой первичного обследования речи (такой мини-вариант речевой карты), а при зачислении на логопедические занятия уже заполнять общепринятую подробную речевую карту.
В карте указываются общие сведения о ребенке, затем проводится первичное обследование речи.
Общее звучание речи включает в себя разборчивость речи, темп, плавность речи, характеристику силы голоса.
Строение и подвижность органов артикуляции: фиксируются отклонения от нормы в строении, объем артикуляционных движений.
Исследование понимания речи включает в себя: понимание инструкций; понимание контекстной речи; понимание простейших вопросов и вопросов косвенных падежей; понимание предлогов; понимание логико-грамматических конструкций.
Состояние звукопроизношения: произнесение ребенком того или иного звука, используя картинки.
Исследование слоговой структуры ведется по картинкам, названия которых отражают различную слоговую сложность. Фиксируются персеверации, элизии, перестановки, добавления звуков, слогов.
Исследование словарного запаса проводится в форме опроса по картинкам. Необходимо предъявлять как редко встречающиеся, так и часто встречающиеся слова. Проверяется знаний слов обобщений, устанавливается объем частей речи в словаре обучающегося.
Исследование грамматической системы включает в себя: употребление предлогов, изменение слов по падежам, различные виды словообразования, согласование различных частей речи.
Исследования связной речи: обучающемуся предлагается составить рассказ по серии сюжетных картинок, по сюжетной картинке, осуществить пересказ текста, рассказанного логопедом.
Исследование письменной речи: исследуются рабочие тетради ребенка, проверяется написанный небольшой диктант, предлагается текст для чтения. В процессе обследования выявляется наличие специфических ошибок
В графе «Рекомендации» указывается: нуждается ли обучающийся в логопедической помощи, рекомендуемые виды занятий, зачислен он на занятия или поставлен на очередь.
Скачать
Вострых Ольга Владимировна,учитель-логопед МКС(К)ОУ «С(К)ОШ № 58»,Кемеровская область, г. Новокузнецк
Loading ... logoportal.ru
Журнал первичного обследования детей логопедом доу образец — Zamanbap.kg
Документация учителя логопеда дошкольного образовательного учреждения. Журнал первичного обследования детей 15. Всего в ДОУ обучается 40 детей Образец обследования. Журнал учета Образец примерных тем консультаций логопеда для педагогов ДОУ. Образец примерных тем консультаций логопеда для педагогов ДОУ. Логопедическая работа строилась на основе перспективного планирования для детей с ОНР и ФФН согласно результатам проведенного первичного обследования. Примерная схема оформления Журнала первичного обследования детей. Трудовой договор с прачкой образец трудовой договор с прачкой образец. Журнал первичного обследования детей ДОУ заполняется учителемлогопедом для выявления детей с речевыми нарушениями при обследовании детей групп. Первичный прим логопедом в детской поликлинике Перечень Журнал обследования речи детей. Журнале движения детей мбдоу дс ов снегурочка прибытие выбытие ребенка вп, из другого доу. Действительно здорово особенно если учесть, журналами учета первичных средств пожаротушения идеал. Ежегодное обследование состояния устной речи. Ребнка Импрес сивная речь Экспрессивная. Журнал обследования речи детей, посещающих ДОУ на год. Основная организационная форма коррекционной работы логопеда ДОУ общеразвивающего вида индивидуальные занятия
. Листа согласия родителей на речевое обследования ребенка доу логопедо образец. Учителемлогопедом на каждого ребенка заполнена речевая карта установленного образца, ведется журнал. На учителялогопеда логопедического пункта распространяются все льготы и пре имущества, предусмотренные. Леонгард методика обследования познавательного развития, диагностическое обучение, качественная и. В пособии представлены необходимые материалы, позволяющие учителюлогопеду ДОУ планировать и осуществлять. Детей с речевой патологией в ДОУ в середине учебного года было проведено первичное логопедическое обследование детей. Журнал обследования устной и письменной речи учащихся. Учительлогопед не заполняет медицинские карты воспитанников ДОУ при обследовании их. Первичный прием логопеда направлен на обследование речи детей и решение вопроса о времени и форме логопедической. Журнала отводится место для учета рабочего времени логопеда в период обследования речи детей. У детей с речевыми нарушениями представляет собой сложный процесс. Наличие и состояние противопожарного водоснабжения и первичных средств пожаротушения пожарные краны, рукава, водоемы и. Ведение членами администрации ДОУ наблюдений, обследований, осуществляе мых в пределах. Учащихся пропаганду Документация учителялогопеда ДОУ Журнал взаимосвязи. Журнал посещения детьми логопункта Журнал учета проводимых консультаций План. Детей приложения 1, 2 журнал первичного обследования речевой деятельности детей журнал посещаемости график работы, заверенный заведующим
. Наполнение протоколов первичного осмотра, журнальчикьчика профилактической работы. Титульные листы для журналов поликлинического логопеда. Логопед журнал для всех, кто занимается с детьми, имеющими нарушения речи логопедов, воспитателей ДОУ. Перечень документации, необходимой учителюлогопеду ДОУ 1журнал первичного осмотра детей 2. Начальные классы массовых школ попадает большое количество детей, ребенка и позволяет учителюлогопеду. Журнал первичного обследования речи детей. Логопедические группы формируются в сентябре, но логопед проводит. Заполняет речевую карту установленного образца. обеспечение деятельности учителя логопеда ДОУ. Учитель логопед обязан рекомендовать родителям перевод ребенка в. Первичное обследование устной речи дошкольников. Логопедическая работа с детьми Учитель логопед МОУСОШ 34 г. Вы искали образец первичного обследования речи детей логопедом в доу. ДОКУМЕНТАЦИЯ УЧИТЕЛЯЛОГОПЕДА ДОУ Методическое пособие.Обследование детей ДОУ с трех до шести лет, определяет. Журнал обследования устной речи детей
. Бланк первичного обследования речевого развития детей 34 лет. Пакет документов учителялогопеда, работающего в муниципальной образовательной организации. ДОУ программу работы ПМПк, план работы ПМПк на учебный год, а также образец карты обследования и развития ребенка, разработанную специалистами ДОУ. На каждого ребенка, зачисленного на занятия, учитель логопед заполняет речевую карту установленного образца. Бланк первичного обследования речевого развития детей 45 лет DOC. Логопеда расписание занятий с детьми, утвержденные заведующим ДОУ годовой план работы журнал первичного обследования речи детей журнал регистрации. В ПМПк ведтся следующая документация годовой план и график плановых заседаний ПМПк журнал записи. Журнал первичного обследования детей логопедом доу образец. ДОУ и осуществление диагностики у уровня речевого. Знакомство с документацией логопеда ДОУ для детей с нарушениями. Журнал обследования речи детей, посещающих дошкольное Опыт работы учителялогопеда. Рабочий журнал логопеда ДОУСтепанова О. Журнал обследования речи детей в доу образец. Документация, которую должен оформлять учительлогопед на логопункте список детей, зачисленных на занятия журнал первичного обследования и. Журнал обследования устной и письменной речи учащихся Образец заполнения. Обследования по отбору детей в речевые группы ДОУ, дошкольные логопедические. Всех обучающихся с нарушениями речи, обнаруженных в результате первичного обследования, логопед отмечает в специальном журнале учета. Родитель настаивает, чтоб малыша логопед принял на занятия. Акт обследования доу образец. Слайд 14 Журнал обследования устной и письменной речи учащихся Образец. На занятия в логопункт зачисляются 2530 детей в условиях городской местности, 2025 детей в условиях сельской местности различных возрастных групп. Список детей ДОУ, направляемых на РМПК в 200 200 учебном. Это отмечается в Листе учета. Логопеда Список детей, зачисленных на занятия журнал первичного обследования речи детей журнал. Протокол первичного обследования ребнка может. Процесса логопедического пункта ДОУ являются дети, их родители законные представители, учительлогопед. Образец бланка характеристики на ПМПК от логопеда ДОУ ЛОГОПЕДИЧЕСКОЕ. Журнал первичного обследования детей. Циклограмма работы учителялогопеда, заверенная руководителем ОУ включаются все виды работ. Журнал обследования речи детей, посещающих дошкольное образовательное учреждение с 3 до 7 лет. В карте указываются общие сведения о ребенке, затем проводится первичное обследование. В презентации представлен материал о документации учителялогопеда ДОУ
. Документация учителялогопеда ДОУ Издательство Сфера, 2010 г. Журнал первичного обследования устной речи журнал посещаемости. Настоящие Требования к квалификации учителейлогопедов учреждений. Письмо образцы диктантов первичного обследования у обучающихся. Отчетными документами учителялогопеда являются журнал первичного обследования детей список детей. Журнал наблюдения за детьми в доу образец. Отражает Обсуждение Рабочий журнал логопеда ДОУ ответы на вопросы и советы владельцев. На ПМПК для обследования ребенка дошкольного возраста предоставляются. Логопеда, работающего на дошкольном логопункте Журнал первичного обследования речи и консультаций детей. Акт проверки бракеражной комиссии в доу образец. Журнал движения детей в доу образец. Учительлогопед проводит первичное обследование состояния речи детей ДОУ. Единомышленников, искренне преданных своей профессии и любящих детей? Основная цель журнала помочь дошкольному. Журнал первичного обследования детей МБДОУ заполняется учителем логопедом для. Журнал первичного обследования речи и консультаций детей. Узкая связь со всеми соучастниками коррекционного процесса на заседаниях чрезвычайно может помочь в работе протокол пмпк в доу образец
zamanbap.kg
Журнал первичного обследования детей логопедом доу образец — Zamanbap.kg
Журнал первичного обследования детей МБДОУ заполняется учителем логопедом для. У детей с речевыми нарушениями представляет собой сложный процесс. Речи Журнал первичного обследования детей МДОУ заполняется учителемлогопедом для выявления детей с речевыми нарушениями при обследовании детей групп. Детей с речевой патологией в ДОУ в середине учебного года было проведено первичное логопедическое обследование детей. Пакет документов учителялогопеда, работающего в муниципальной образовательной организации. Развития детей с нарушениями речи, как показатель эффективности работы учителялогопеда ДОУ Быховская А. Логопед журнал для всех, кто занимается с детьми, имеющими нарушения речи логопедов, воспитателей ДОУ. Документация учителялогопеда ДОУ Издательство Сфера, 2010 г. Ежегодное обследование состояния устной речи. Журнал учета детей, ожидающих зачисления на индивидуальные логопедические. В начале учебного года учительлогопед проводит обследование речи детей дошкольного учреждения и фиксирует. Это отмечается в Листе учета. В ПМПк ведтся следующая документация годовой план и график плановых заседаний ПМПк журнал записи. Логопедическая работа с детьми Учитель логопед МОУСОШ 34 г. Журнал первичного обследования речи детей, посещающих МБДОУ Детский сад г. Журнал первичного обследования речи детей. Журнал обследования речи детей образец. Основная организационная форма коррекционной работы логопеда ДОУ общеразвивающего вида индивидуальные занятия. Бланк первичного обследования речевого развития детей 34 лет. Удобна для логопедов ДОУ Речевая карта обследование детей. Встретимся на страницах журнала Логопед вашего помощника, наставника и друга! Основная цель журнала помочь дошкольному. Журнал обследования речи детей в доу образец. На занятия в логопункт зачисляются 2530 детей в условиях городской местности, 2025 детей в условиях сельской местности различных возрастных групп. Учителемлогопедом на каждого ребенка заполнена речевая карта установленного образца, ведется журнал. ПРОТОКОЛ ПЕРВИЧНОГО ОБСЛЕДОВАНИЯ ДЕТЕЙ. Акт обследования доу образец. Журнале движения детей мбдоу дс ов снегурочка прибытие выбытие ребенка вп, из другого доу. Журнал регистрации первичного прима
. Логопеда ДОУ за Диаграммы, отчеты, таблицы, пояснения, протоколы. Протокол результатов первичного психологического обследования. Логопедические группы формируются в сентябре, но логопед проводит. Результаты эффективности работы логопеда фиксируются в журнале учета детей, зачисленных на занятия. Развитие и укрепление здоровья детей во время проведения организованной образовательной деятельности учителем. Трудовой договор с прачкой образец трудовой договор с прачкой образец. Журнал учта консультаций с родителями в дошкольной образовательной. Перечень документации, необходимой учителюлогопеду ДОУ 1журнал первичного осмотра детей 2. Единомышленников, искренне преданных своей профессии и любящих детей? Журнал обследования речи логопедом в ДОУ.Протокол дефектологического обследования одного ребнка Раздаточный материал образцы. Вы искали образец первичного обследования речи детей логопедом в доу. Протокол логопедического обследования содержит материал, на основе которого логопед делает первичное. Документация учителя логопеда дошкольного образовательного учреждения. Нормативноправовые документы логопеда ДОУ. ДОКУМЕНТАЦИЯ УЧИТЕЛЯЛОГОПЕДА ДОУ Методическое пособие. Ведение членами администрации ДОУ наблюдений, обследований, осуществляе мых в пределах. Учительлогопед должен являться образцом для детей. обеспечение деятельности учителя логопеда ДОУ. Образцов творческих и контрольных работ ребенка. Журнал обследования речи детей, посещающих дошкольное Опыт работы учителялогопеда. Бланк первичного обследования речевого развития детей 45 лет DOC. В карте указываются общие сведения о ребенке, затем проводится первичное обследование. На учителялогопеда логопедического пункта распространяются все льготы и пре имущества, предусмотренные. Акт проверки бракеражной комиссии в доу образец. Знакомство с документацией логопеда ДОУ для детей с нарушениями. Журнал обследования речи детей МДОУ. Учительлогопед проводит первичное обследование состояния речи малышей мбдоу. Учительлогопед проводит первичное обследование состояния речи детей ДОУ. ДОУ программу работы ПМПк, план работы ПМПк на учебный год, а также образец карты обследования и развития ребенка, разработанную специалистами ДОУ. Журнал первичного обследования устной речи журнал посещаемости. Журнал первичного обследования детей 15. Обследовать обучающихся, воспитанников образовательной организации обследование устной речи. Журнал обследования устной речи детей. Обследования по отбору детей в речевые группы ДОУ, дошкольные логопедические. Журнал обследования речи детей 37 лет, посещающих ДОУ. Титульные листы для журналов поликлинического логопеда. Карта обследования ребенка с 34 лет. Узкая связь со всеми соучастниками коррекционного процесса на заседаниях чрезвычайно может помочь в работе протокол пмпк в доу образец. Настоящие Требования к квалификации учителейлогопедов учреждений. Журнал обследования устной и письменной речи учащихся Образец заполнения. Наличие и состояние противопожарного водоснабжения и первичных средств пожаротушения пожарные краны, рукава, водоемы и. Отчетными документами учителялогопеда являются журнал первичного обследования детей список детей. Рекомендации по ведению документации учителя логопеда государственных образовательных учреждениях. Систему работы учителя логопеда при общеобразовательной школе можно представить следующим образом схема. Первичный прием логопеда направлен на обследование речи детей и решение вопроса о времени и форме логопедической. Образец журнала первичного обследования детей на логопункте. Логопеда, работающего на дошкольном логопункте Журнал первичного обследования речи и консультаций детей. Отражает Обсуждение Рабочий журнал логопеда ДОУ ответы на вопросы и советы владельцев. Заявки на обследование детей в ЦДиК. Протокол первичного обследования ребнка может. Журнала отводится место для учета рабочего времени логопеда в период обследования речи детей. Перспективный план работы учителялогопеда на логопункте в ДОУ на учебный год Перспективный план работы учителя. Журнал первичного обследования детей логопедом доу образец. Журнал посещения детьми логопункта Журнал учета проводимых консультаций План. Журнал первичного обследования речи и консультаций детей. Речевая карта дат возможность логопеду довольно полно обследовать речь ребнка с первым уровнем
. Обследование детей ДОУ с трех до шести лет, определяет. Логопеда Список детей, зачисленных на занятия журнал первичного обследования речи детей журнал. Осуществление обследования воспитанников ДОУ, определение структуры и степени выраженности нарушения. Для первичного обследования ребенка на районной ПМПК. Учительлогопед не заполняет медицинские карты воспитанников ДОУ при обследовании их. Журнал движения детей в доу образец. На каждого ребенка, зачисленного на занятия, учитель логопед заполняет речевую карту установленного образца. Первичное обследование устной речи дошкольников. Действительно здорово особенно если учесть, журналами учета первичных средств пожаротушения идеал. Логопеда расписание занятий с детьми, утвержденные заведующим ДОУ годовой план работы журнал первичного обследования речи детей журнал регистрации. Циклограмма работы учителялогопеда, заверенная руководителем ОУ включаются все виды работ. Журнал логопедического обследования детей Паспорт логопедического кабинета 2 образца. Педагогическая документация для ДОУ Образец паспорта логопедического. Свобода без ответственности что ребенок без присмотра. Детей приложения 1, 2 журнал первичного обследования речевой деятельности детей журнал посещаемости график работы, заверенный заведующим. На ПМПК для обследования ребенка дошкольного возраста предоставляются. Процесса логопедического пункта ДОУ являются дети, их родители законные представители, учительлогопед. Примерная схема оформления Журнала первичного обследования детей. Наполнение протоколов первичного осмотра, журнальчикьчика профилактической работы. Образец бланка характеристики на ПМПК от логопеда ДОУ ЛОГОПЕДИЧЕСКОЕ. ЛП ДОУ организуется для оказания практической помощи детям. Журнал обследования речи детей, посещающих ДОУ на год. Журнал учета Образец примерных тем консультаций логопеда для педагогов ДОУ. Речевая карта на каждого логопата. ДОУ и осуществление диагностики у уровня речевого. Журнал первичного обследования детей.
zamanbap.kg
Журнал первичного обследования детей логопедом доу образец — Zamanbap.kg
Преемственности в речевой работе воспитателя и логопеда детского сада Дефектология. Действительно здорово особенно если учесть, журналами учета первичных средств пожаротушения идеал. Учительлогопед проводит первичное обследование состояния речи детей ДОУ. Ребнка Импрес сивная речь Экспрессивная. Журнал движения детей в доу образец. Начальные классы массовых школ попадает большое количество детей, ребенка и позволяет учителюлогопеду. Первичный прим логопедом в детской поликлинике Перечень Журнал обследования речи детей. Заведующая ДОУ осуществляет систематический контроль и несет. Протокол первичного обследования ребнка может. Письмо образцы диктантов первичного обследования у обучающихся. Титульные листы для журналов поликлинического логопеда. Журнал обследования устной речи детей. Это отмечается в Листе учета. Журнал первичного обследования детей 15. Характеристика на логопеда доу образец. Образец примерных тем консультаций логопеда для педагогов ДОУ. В начале учебного года учительлогопед проводит обследование речи детей дошкольного учреждения и фиксирует. Бланк первичного обследования речевого развития детей 45 лет DOC. Слайд 14 Журнал обследования устной и письменной речи учащихся Образец. Журнал обследования речи логопедом в ДОУ. Заполняет речевую карту установленного образца. Детей с речевой патологией в ДОУ в середине учебного года было проведено первичное логопедическое обследование детей. Документация, которую должен оформлять учительлогопед на логопункте список детей, зачисленных на занятия журнал первичного обследования и
. Журнал регистрации первичного прима.Первичное обследование устной речи дошкольников. Ежегодное обследование состояния устной речи. Журнал посещения детьми логопункта Журнал учета проводимых консультаций План. Результаты первичного обследования и обследования в. Обследовать обучающихся, воспитанников образовательной организации обследование устной речи. ДОУ программу работы ПМПк, план работы ПМПк на учебный год, а также образец карты обследования и развития ребенка, разработанную специалистами ДОУ. Отчетными документами учителялогопеда являются журнал первичного обследования детей список детей. На ПМПК для обследования ребенка дошкольного возраста предоставляются. Нормативноправовые документы логопеда ДОУ. Обследования по отбору детей в речевые группы ДОУ, дошкольные логопедические. Результаты эффективности работы логопеда фиксируются в журнале учета детей, зачисленных на занятия. Логопедическая работа с детьми Учитель логопед МОУСОШ 34 г. В ПМПк ведтся следующая документация годовой план и график плановых заседаний ПМПк журнал записи. В карте указываются общие сведения о ребенке, затем проводится первичное обследование. Образцов творческих и контрольных работ ребенка. Журнал первичного обследования состояния устной речи детей. Речевая карта дат возможность логопеду довольно полно обследовать речь ребнка с первым уровнем. Циклограмма работы учителялогопеда, заверенная руководителем ОУ включаются все виды работ. ЖУРНАЛ ПЕРВИЧНОГО ОБСЛЕДОВАНИЯ ЛОГОПЕДА. Наполнение протоколов первичного осмотра, журнальчикьчика профилактической работы. Учительлогопед проводит первичное обследование состояния речи малышей мбдоу. Ведение членами администрации ДОУ наблюдений, обследований, осуществляе мых в пределах. Журнал обследования речи детей, посещающих дошкольное Опыт работы учителялогопеда. ПРОТОКОЛ ПЕРВИЧНОГО ОБСЛЕДОВАНИЯ ДЕТЕЙ. Журнал обследования устной и письменной речи учащихся Образец заполнения. Примерная схема оформления Журнала первичного обследования детей. Логопеда Список детей, зачисленных на занятия журнал первичного обследования речи детей журнал. Логопеда ДОУ за Диаграммы, отчеты, таблицы, пояснения, протоколы. Журнала отводится место для учета рабочего времени логопеда в период обследования речи детей. Свобода без ответственности что ребенок без присмотра. Журнал обследования речи детей в доу образец. Единомышленников, искренне преданных своей профессии и любящих детей? Речи Журнал первичного обследования детей МДОУ заполняется учителемлогопедом для выявления детей с речевыми нарушениями при обследовании детей групп. Педагогическая документация для ДОУ Образец паспорта логопедического. Отражает Обсуждение Рабочий журнал логопеда ДОУ ответы на вопросы и советы владельцев. ДОУ и осуществление диагностики у уровня речевого. обеспечение деятельности учителя логопеда ДОУ. Журнал обследования речи детей 37 лет, посещающих ДОУ. Журнал обследования речи детей, посещающих ДОУ на год. Леонгард методика обследования познавательного развития, диагностическое обучение, качественная и. Документация учителялогопеда ДОУ Издательство Сфера, 2010 г. Журнале движения детей мбдоу дс ов снегурочка прибытие выбытие ребенка вп, из другого доу. Методическое пособие в помощь логопедам ДОУ. Образец журнала первичного обследования детей на логопункте. Акт проверки бракеражной комиссии в доу образец. Перспективный план работы учителялогопеда на логопункте в ДОУ на учебный год Перспективный план работы учителя
. Перечень документации, необходимой учителюлогопеду ДОУ 1журнал первичного осмотра детей 2. Журнал первичного обследования учащихся. Учительлогопед проводит первичное обследование состояния речи детей доу. Протокол результатов первичного психологического обследования. ДОКУМЕНТАЦИЯ УЧИТЕЛЯЛОГОПЕДА ДОУ Методическое пособие. Журнал осмотра неорганизованных детей. Систему работы учителя логопеда при общеобразовательной школе можно представить следующим образом схема. Листа согласия родителей на речевое обследования ребенка доу логопедо образец. Приоритетное направление деятельности учителялогопеда ДОУ. Логопедические группы формируются в сентябре, но логопед проводит. Бланк первичного обследования речевого развития детей 34 лет. Учителемлогопедом на каждого ребенка заполнена речевая карта установленного образца, ведется журнал. Учительлогопед не заполняет медицинские карты воспитанников ДОУ при обследовании их. Осуществление обследования воспитанников ДОУ, определение структуры и степени выраженности нарушения. ЛП ДОУ организуется для оказания практической помощи детям. Пакет документов учителялогопеда, работающего в муниципальной образовательной организации. Рекомендации по ведению документации учителя логопеда государственных образовательных учреждениях. Журнал первичного обследования детей ДОУ заполняется учителемлогопедом для выявления детей с речевыми нарушениями при обследовании детей групп. Журнал Обследования Речи Детей Образец. Детей приложения 1, 2 журнал первичного обследования речевой деятельности детей журнал посещаемости график работы, заверенный заведующим. Эта книга поможет педагогу провести психологическое обследование детей, если в ДОУ. Логопеда, работающего на дошкольном логопункте Журнал первичного обследования речи и консультаций детей. Обследование детей ДОУ с трех до шести лет, определяет
. Удобна для логопедов ДОУ Речевая карта обследование детей. Протокол логопедического обследования содержит материал, на основе которого логопед делает первичное. Журнал первичного обследования речи и консультаций детей. Журнал первичного обследования речи детей. Журнал первичного обследования детей. Всех обучающихся с нарушениями речи, обнаруженных в результате первичного обследования, логопед отмечает в специальном журнале учета. Первичный прием логопеда направлен на обследование речи детей и решение вопроса о времени и форме логопедической. Основная организационная форма коррекционной работы логопеда ДОУ общеразвивающего вида индивидуальные занятия. Узкая связь со всеми соучастниками коррекционного процесса на заседаниях чрезвычайно может помочь в работе протокол пмпк в доу образец. Заявки на обследование детей в ЦДиК. Учитель логопед обязан рекомендовать родителям перевод ребенка в. Журнал учета Образец примерных тем консультаций логопеда для педагогов ДОУ. В презентации представлен материал о документации учителялогопеда ДОУ. Акт обследования доу образец. Документация учителя логопеда дошкольного образовательного учреждения. Первичное обследование устной речи дошкольников. Всего в ДОУ обучается 40 детей Образец обследования. Рекомендации для зачисления в логопедический пункт ДОУ детей с нерезко выраженными нарушениями речи. Журнал логопедического обследования детей Паспорт логопедического кабинета 2 образца. Журнал первичного обследования детей логопедом доу образец. Список детей ДОУ, направляемых на РМПК в 200 200 учебном. Рабочий журнал логопеда ДОУСтепанова О. Журнал учта консультаций с родителями в дошкольной образовательной
. Наличие и состояние противопожарного водоснабжения и первичных средств пожаротушения пожарные краны, рукава, водоемы и. Речевая карта на каждого логопата. Трудовой договор с прачкой образец трудовой договор с прачкой образец. Процесса логопедического пункта ДОУ являются дети, их родители законные представители, учительлогопед. Учительлогопед должен являться образцом для детей. Журнал первичного обследования устной речи журнал посещаемости. Журнал обследования устной и письменной речи учащихся. На каждого ребенка, зачисленного на занятия, учитель логопед заполняет речевую карту установленного образца. Журнал обследования речи детей образец. Знакомство с документацией логопеда ДОУ для детей с нарушениями. Образец бланка характеристики на ПМПК от логопеда ДОУ ЛОГОПЕДИЧЕСКОЕ. Протокол дефектологического обследования одного ребнка Раздаточный материал образцы. Карта обследования ребенка с 34 лет. Для первичного обследования ребенка на районной ПМПК. Журнал обследования речи детей, посещающих дошкольное образовательное учреждение с 3 до 7 лет. Развития детей с нарушениями речи, как показатель эффективности работы учителялогопеда ДОУ Быховская А. Журнал наблюдения за детьми в доу образец. Логопед журнал для всех, кто занимается с детьми, имеющими нарушения речи логопедов, воспитателей ДОУ. Родитель настаивает, чтоб малыша логопед принял на занятия. Встретимся на страницах журнала Логопед вашего помощника, наставника и друга! Журнал обследования речи детей МДОУ. Журнал учета детей, ожидающих зачисления на индивидуальные логопедические.
zamanbap.kg












