Журнал "Макрогетероциклы". Журнал макрогетероциклы
Vol. 10. N 4-5 | Журнал "Макрогетероциклы"
Advances
Cyclophanes
Review

Calixarenes
Review
Crown Ethers
Review
N,O-Macrocycles
Paper
Calixarenes
Paper
Dipyrromethenes
Paper
A. K. Lebechi, T. Nyokong, J. Mack BODIPY Dye Embedded Electrospun Polystyrene Nanofibers for the Photocatalytic Degradation of Orange G in Industrial Wastewaters

Porphyrins
Paper
Porphyrins
Paper
Porphyrins
Paper
Porphyrins
Paper
Porphyrins
Paper
Porphyrins
Paper
Porphyrins
Paper
Phthalocyanines
Paper
Phthalocyanines
Paper
E. A. Kuzmina, T. V. Dubinina, N. E. Borisova, L. G. Tomilova Octachloro- and Hexadecafluoro-Substituted Lanthanide(III) Phthalocyaninates: Synthesis and Spectral Properties Phthalocyanines
Communication
Phthalocyanines
Paper
Phthalocyanines
Communication
Porphyrazines
Paper
Porphyrazines
Paper
Clathrochelates
Paper
Crown Ethers
Paper
Cyclophanes
Paper
Conference
macroheterocycles.isuct.ru
Том 11. Выпуск 1 | Журнал "Макрогетероциклы"
Юбилей
Фталоцианины
Статья
О. Р. Симонова, С. В. Зайцева, С. А. Зданович, О. И. Койфман
Редокс превращения μ-карбидодимерного тетра-4-трет-бутилфталоцианината железа(IV) в присутствии органических пероксидов
Фталоцианины
Статья
A. Вашурин, И. Кузьмин, M. Разумов, O. Голубчиков, O. Койфман
Фталоцианины
Статья
Н. А. Кузнецова, Т. М. Федорова, Л. И. Соловьева, Е. Н. Шевченко, Э. Б. Бордаев, Р. А. Булгаков, О. Л. Калия, Е. А. Лукьянец
Порфиразины
Статья
Ю. В. Бутина, Е. А. Данилова, Т. В. Кудаярова, А. С. Малясова
Порфиразины
Статья
А. А. Отлётов, А. П. Мерлян, В. В. Веретенников, А. Е. Погонин, Е. Н. Иванов, Я. Е. Филиппова, Ю. А. Жабанов, М. К. Исляйкин
Порфиразины
Статья
Д. А. Филимонов, С. В. Алексеева, М. И. Базанов, О. И. Койфман, М. С. Кокорин
Электрохимические исследования тетрагетероаренопорфиразинов в щелочном растворе
Порфирины
Статья
Э. Р. Бабаев, П. Ш. Мамедова, У. Ф. Гашимова, В. А. Адыгезалова, И. М. Эйвазова
Изучение возможности использования некоторых моно- и полициклических углеводородов нефтей Апшеронского полуострова в качестве генетических показателей при проведении экологических экспертиз
Порфирины
Статья
М. А. Грин, В. А. Погорилый, А. Н. Ноев, С. И. Тихонов, А. Г. Мажуга, А. Ф. Миронов
Порфирины
Статья
Т. К. Рочева, О. Г. Шевченко, Л. И. Мазалецкая, Н. И. Шелудченко, Д. В. Белых
Порфирины
Статья
A. Любимцев, A. Семейкин, Н. Жеглова, В. Шейнин, O. Куликова, С. Сырбу
Порфирины
Статья
Е. Н. Овченкова, Н. Г. Бичан, А. С. Семейкин, Т. Н. Ломова
Синтез, физико-химическая характеристика и реакция координации (2,3,7,8,12,18-гексаметил-13,17-диэтил-5-(2-пиридил)порфинато)кобальта(II) с пиридином
Порфирины
Статья
Н. В. Чижова, Ю. Б. Иванова,Н. Ж. Мамардашвили
Галогенирование β-положений тетрафенилпорфирнината Co(II)
Порфирины
Статья
С. Г. Пуховская, Ю. Б. Иванова, А. С. Семейкин, О. А. Голубчиков
Влияние основности лигандов на кинетику реакции комплексообразования 5,10,15,20-тетра-(трифторметил) порфина и 5,10,15,20-тетра(изо-бутил) порфина с ацетатом меди(II)
macroheterocycles.isuct.ru
Vol. 9. N 3 | Журнал "Макрогетероциклы"
Biographic Note
Porphyrazinoids
Paper
E. N. Ivanov, O. N. Trukhina, O. I. Koifman, M. K. Islyaikin
Homotrinuclear Сomplexes of [30]Trithiadodecaazahexaphyrine with Transition Metals: NiII, CuII and MnII

Porphyrazinoids
Communication
M. Hamdoush, S. S. Ivanova, G. L. Pakhomov, P. A. Stuzhin
Heterocyclic Subphthalocyanine Analogue – Boron(III) Subporphyrazine with Fused 1,2,5-Thiadiazole Rings

Porphyrins
Paper
V. E. Kotsuba, N. N. Kolyadina, Y. V. Zubavichus, P. V. Dorovatovsky, V. N. Khrustalev
CuII Crown-Tetraphenylporphyrinate: Molecular Structure and Evaluation of the Formation of Multinuclear Complexes with s-Metals
Porphyrins
Paper
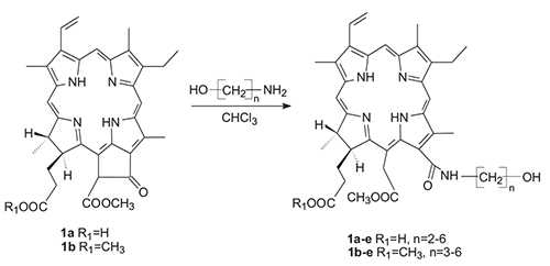
M. V. Mal’shakova, Y. I. Pylina, L. L. Frolova, J. H. Alekseev, S. A. Patov, D. M. Shadrin, A. V. Kuchin, I. O. Velegzhaninov, D. V. Belykh
New Chlorin-Terpene Conjugates: Synthesis, Photoinduced and Dark Cytotoxicity

Phthalocyanines
Paper
G. V. Kuvshinov, V. E. Maizlish, S. A. Kuvshinova, V. A. Burmistrov, O. I. Koifman
Copper and Nickel Complexes of tert-Butyl Substituted Phthalocyanines as Modifiers for Films Based on Polyvinyl Chloride and Adsorbents for Gas Chromatography
Phthalocyanines
Paper
K. Zuev, V. Perevalov, E. Vinokurov, F. Zhigunov, T. Koldaeva
Physical-Chemical Properties of Modified Copper-Phthalocyanine and Its Aqueous Dispersions
Clathrochelates
Paper
A. B. Burdukov, R. Šipoš, N. V. Pervukhina, N. V. Kuratieva, I. V. Eltsov, M. A. Vershinin, E. G. Boguslavsky, D. B. Kal’nyi, S. L. Selektor, A. V. Shokurov, Ya. Z. Voloshin, A. A. Nefedov
Synthesis, X-Ray Structure and (Spectro)-electrochemical Study of an Electrochromic Iron(II) Chlatrochelate with Tuned Redox Properties
Metallacrowns
Paper
S. G. Makarov, G. S. Zabrodina, A. V. Cherkasov, P. E. Plyusnin, A. V. Arapova, M. A. Katkova, S. Yu. Ketkov
Preparation and Thermal Decomposition of LnIII-CuII Polynuclear Metallamacrocyclic Compounds Based on Glycinehydroxamic Acid
Cyclames
Paper
O. V. Mikhailov, D. V. Chachkov
DFT OPBE/TZVP Сalculation of Molecular Structures of (5656) Macroheterocyclic Chelates of Double Charged 3d-Element Ions with 1,5,8,11-Tetraazacyclotetradecanetetrathione-2,3,9,10 and Its Dioxa- and Dithia Analogs
Cyclenes
Paper
S. P. Babailov
Holmium Complex with DOTA as NMR Super-Sensitive Temperature Sensor Reagent for Spectroscopic and Tomography Monitoring of Aqueous Systems

Cryptands
Paper
M. A. Krestyaninov, M. M. Kiseleva, N. A. Gomzina, M. G. Kiselev
Conformational Manifold of Cryptand K 2.2.2.BB and Its Complex with Potassium Ion

Calixarenes
Paper
Yu. Matvieiev, A. Kulinich, A. Ryabitskii, S. Shishkina, O. Shishkin, V. Pivovarenko, V. Kalchenko
The Upper Rim Functionalyzed Calixarene Ketocyanines: Synthesis, Structure and Fluorescence Properties
Calixarenes
Paper
A. A. Vavilova, R. V. Nosov, O. A. Mostovaya, I. I. Stoikov
Synthesis of Three Stereoisomers of p-tert-Butylthiacalix[4]arene Substituted with (Ethoxycarbonyl)methoxy and Fluorescent 1-Amidoanthraquinone Fragments
Crownophanes
Paper
I. G. Ovchinnikova, M. S. Valova, O. V. Fedorova, A. A. Tumashov, M. A. Kravchenko, I. D. Medvinsk’i, G. L. Rusinov, V. N. Charushin
Dihydroazolopyrimidine Сrownophanes. Synthesis and Tuberculostatic Activity
Macrolides
Paper
L. N. Lysenkova, O. Y. Saveljev, A. M. Korolev, V. N. Danilenko, O. B. Bekker, D. A. Mavletova, A. A. Vatlin, O. A. Omelchuk, A. E. Shchekotihin
Synthesis of 33-(R,S)-Bromo-33-deoxy-oligomycin A

Macrolides
Paper
Yu. L. Sebyakin, A. A. Loseva, U. A. Budanova, A. V. Lubeshkin
Synthesis of Dipeptide and Carbohydrate Ivermectin B1 Derivatives
Glycoterpenoids
Сommunication
B. F. Garifullin, I. Yu. Strobykina, R. R. Sharipova, M. A. Kravchenko, V. E. Kataev
The First Macrocyclic Glycoterpenoid Having Glucosamine and Isosteviol Moieties

Polyheterocycles
Paper
H. H. Truong, A. T. Le, A. T. T. Dang, A. T. Soldatenkov, V. T. T. Tran, T. V. Nguyen
Synthesis and Molecular Structure of 9-(Arylidene)amino-11-(2-hydroxyphenyl)-8-oxa-12-azatricyclo[7.3.1.02,7]trideca-2(7),3,5-trienes Formed by Cascade Reaction of 2,6-Di(2-hydroxyphenyl)-4-oxopiperidines with Arylaldehydes and Ammonia
macroheterocycles.isuct.ru
Vol 9. N 4 | Журнал "Макрогетероциклы"
Porphyrins
Review
A. V. Ezhov, K. A. Zhdanova, N. A. Bragina, A. F. Mironov
Approaches to Improve Efficiency of Dye-Sensitized Solar Cells

Porphyrins
Paper
V. B. Sheinin, O. M. Kulikova, V. V. Aleksandriiskii, O. I. Koifman
The Direct Synthesis of 2-N-Methyl-5,10,15,20-tetrakis-(4′-sulfophenyl)-2-aza-21-carbaporphyrin J-Aggregates

Porphyrins
Communication
A. V. Nechaev, M. E. Nikolaeva, I. M. Asharchuk, K. V. Khaydukov, E. V. Khaydukov, V. A. Semchishen, A. F. Mironov
Natural Сhlorins Octadecylamides - Upconversion Nanoparticles Complexes for the Study of Energy Transfer Process

Porphyrins
Paper
D. V. Belykh, I. S. Khudyaeva, O. M. Startceva, I. V. Gruzdev, Y. V. Romanenko
Aminomethylation of Nickel Porphyrinates Based on Methylpheophorbide а Derivatives

Porphyrins
Paper
A. V. Kustov, S. O. Kruchin, N. L. Smirnova, D. B. Berezin
Solubility and Thermodynamics of Dissolution of 13,17-Di-N-(2-aminoethyl)amide of Deuteroporphyrin-IX in Aqueous HCl and Tetraoxalate Buffer at 288–328 K

Porphyrins
Paper
E. V. Ermakova, Yu. Yu. Enakieva, A. I. Zvyagina, Yu. G. Gorbunova, M. A. Kalinina, V. V. Arslanov
Effect of Transition Metal Cations on Assembly of Highly Ordered 2D Multiporphyrin Arrays on Liquid and Solid Substrates
Phthalocyanines
Paper
A. V. Ziminov, M. A. Furman, E. V. Borisov, N. S. Seravin, S. M. Ramsh
Synthesis and Isolation of 2,9,17,23-Tetrakis[(3,5-dimethyl-1H-pyrazol-1-yl)phenoxy]phthalocyanine and Its Magnesium(II) and Zinc(II) Complexes

Crown Ethers
Paper
A. V. Shokurov, D. A. Silantyeva, V. V. Arslanov, S. L. Selektor
Factors Affecting the Structural Organization of Hemicyanine Chromoionophores in Langmuir Monolayers

Clathrochelates
Communication
G. E. Zelinskii, A. S. Belov, A. V. Vologzhanina, V. V. Novikov, A. A. Pavlov, Y. V. Zubavichus, Y. Z. Voloshin
Template Synthesis and X-Ray Structure of the First Cobalt(II) Glyoximate Clathrochelate with Terminal Formyl Groups

Clathrochelates
Paper
A. B. Burdukov, M. A. Vershinin, N. V. Pervukhina, N. V. Kuratieva, I. V. Eltsov, Y. Z. Voloshin, P. E. Plyusnin
Electrophilic Addition of Polyaromatic o-Quinones to an Iron(II) Diamino-clathrochelate Leading to the Macro-bicyclic Iron(II) tris-Dioximates with Extended Annulated Ribbed Substituents
Clathrochelates
Paper
A. B. Burdukov, M. A. Vershinin, N. V. Pervukhina, N. V. Kuratieva, I. V. Eltsov, A. S. Belov, Y. Z. Voloshin, A. A. Nefedov
Using Minisci Reaction for Modification of the tris-Dioximate Metal Clathrochelates: Free-Radical Substitution at the Glyoximate Fragment of an Iron(II)-Encapsulating Cage Framework
N,O-Macrocycles
Paper
O. K. Grigorova, A. D. Averin, O. A. Maloshitskaya, V. B. Rybakov, I. P. Beletskaya
Pd(0)-Сatalyzed Amination in the Synthesis of Planar-Chiral Macrobicyclic Compounds Comprising 1,5-Disubstituted Anthraquinone Moiety
N,O-Macrocycles
Paper
O. K. Grigorova, A. D. Averin, O. A. Maloshitskaya, I. P. Beletskaya
Synthesis of Macrocycles Containing Endocyclic Chiral BINAM Moieties
Calixarenes
Paper
R. R. Ibragimova, V. A. Burilov, A. R. Aimetdinov, D. A. Mironova, V. G. Evtugyn, Y. N. Osin, S. E. Solovieva, I. S. Antipin
Polycationic Derivatives of p-tert-Butylthiacalix[4]arene in 1,3-alternate Stereoisomeric Form: New DNA Condensing Agents
Cyclosiloxanes
Paper
A. A. Anisimov, Yu. N. Kononevich, M. I. Buzin, A. S. Peregudov, O. I. Shchegolikhina, A. M. Muzafarov
Convenient Synthesis of New Si-H and Si-Vinyl Functionalized Stereospecific 8-, 12- and 24-Membered Cyclosiloxanes
Macrolides
Paper
O. A. Omelchuk, N. M. Belov, V. B. Tsvetkov, N. E. Grammatikova, L. N. Lysenkova, A. M. Korolev, O. B. Bekker, V. N. Danilenko, A. E. Shchekotikhin
Synthesis and Biological Activity of 2,3,16,17,18,19-Hexahydrooligomycin А
Corrigendum
V. S. Tyurin, D. R. Erzina, I. A. Zamilatskov, A. Yu. Chernyadyev, G. V. Ponomarev, D. V. Yashunskiy, A. V. Maksimova, K. V. Neverov, A. S. Kozlov, A. A. Krasnovsky, A. Yu. Tsivadze
Corrigendum to “Palladium Complexes of Azomethine Derivatives of Porphyrins as Potential Photosensitizers” [Macroheterocycles 2015, 8(4), 376-383, DOI: 10.6060/mhc151199z]
macroheterocycles.isuct.ru
Том 10. Выпуск 1 | Журнал "Макрогетероциклы"
Дипиррометены
Обзор
В. Н. Немыкин, Т. С. Блесенер, К. Д. Циглер
Фотофизические свойства, окислительно-восстановительные процессы и электронные структуры ферроценил-содержащих BODIPY, аза-BODIPY, BOPHY, дипиррометеновых и аза-дипиррометеновых комплексов с переходными металлами

Порфиразины
Сообщение
Н. В. Твердова, Н. И. Гиричева, Д. С. Савельев, М. С. Михайлов, Н. Фогт, О. И. Койфман, П. А. Стужин, Г. В. Гиричев
Молекулярная структура тетракис(1,2,5-тиадиазоло)порфиразината цинка(II) в газовой фазе

Фталоцианины
Статья
М. С. Поляков, Т. В. Басова
Гибридные материалы на основе тетра-трет-бутилзамещённого фталоцианината и нафталоцианината цинка с одностенными углеродными нанотрубками: структура и сенсорные свойства

Порфирины
Статья
Н. Ш. Лебедева, Ю. А. Губарев, А. В. Любимцев, Е. С. Юрина, О. И. Койфман
Термодинамические аспекты связывания протеинов с порфиринами. Спектральный и термохимический подходы

Порфирины
Статья
М. В. Тесакова, А. С. Семейкин, В. И. Парфенюк
Синтез, электрохимические свойства и антиоксидантная активность гидроксизамещенных тетрафенилпорфинов
Порфирины
Статья
Д. В. Белых, А. Л. Столыпко
Обменные процессы с участием внутрициклических NH-протонов природных и синтетических порфиринов по данным DOSY

Порфирины
Статья
М. Н. Коляда, В. П. Осипова, Н. Т. Берберова, Ю. Т. Пименов, Е. Р. Милаева
Снижение прооксидантной активности бутильных и фенильных производных олова в присутствии мезо-тетракис-(3,5-ди-трет-бутил-4-гидроксифенил)-порфирина

Порфирины
Статья
С. Райяти, С. Э. Рузбахани, Ф. Нейхабат
Сравнительное исследование каталитической активности Fe, Mn и Cu–порфиринатов, иммобилизованных на мезопористом MCM-41, в реакциях окисления сульфидов

Порфирины
Статья
О. В. Мальцева, Н. В. Чижова, Р. С. Кумеев, Н. Ж. Мамардашвили
Тетрафенилтетрабензопорфиринаты NiII, PdII, PtII и PtIV

Порфирины
Статья
Д. Б. Березин, Д. В. Белых, О. М. Старцева, Н. Г. Манин,
М. А. Крестьянинов, А. В. Кустов
Физико-химические свойства производных хлорофилла а и их диэтиленгликолевых конъюгатов в твердой фазе

Порфирины
Сообщение
В. А. Золотцев, О. В. Зазулина, Г. Е. Морозевич, М. Г. Завьялова, А. Ю. Мишарин, Р. А. Новиков, В. П. Тимофеев,О. И. Койфман, Г. В. Пономарев
Конъюгаты пирофеофорбида а с лигандами андрогенового рецептора
Порфирины
Сообщение
О. И. Гущина, М. Ю. Гришина, Е. А. Ларкина, В. С. Лебедева, А. Ф. Миронов
Синтез гидроксипроизводных хлорина е6

Краун-эфиры
Статья
А. Н. Архипова, П. А. Панченко, Н. Э. Шепель, Ю. В. Федоров, М. Н. Румянцева, А. В. Марикуца, А. М. Гаськов, О. А. Федорова
Синтез, оптические свойства и комплексообразование молекулярных рецепторов на основе производных 1,8-нафталимида в растворе и в составе гибридных наночастиц диоксида олова

Краун-эфиры
Сообщение
Т. Х. Хиеу, Н. Т. Т. Фыонг, А. Т. Солдатенков, В. Е. Коцюба, Е. И. Полякова, Н. В. Туен, Т. Т. Т. Ван, Д. T. Т. Ань, Л. Т. Ань
Синтез тетрабензо-31(34)-краун-7(8)эфиров

N-Макроциклы
Статья
С. З. Вацадзе, Д. П. Крутько, А. Дж. Блэйк, Ф. Маунтфорд Новые 16-членные тетраазамакроциклы на основе пиперазина и их никелевые комплексы
Циклодекстрины
Статья
Ю. И. Костюкевич, А. С. Кононихин, А. Е. Бугрова, Н. Л. Стародубцева, И. А. Попов, Е. Н. Николаев Исследование ион-молекулярных комплексов бета-циклодекстрина с белками и металлами в газовой фазе

N,O-Макроциклы
Статья
Ю. В. Харитонов, М. М. Шакиров, Э. Э. Шульц
Синтез новых макрогетероциклических соединений на основе лабданоидов посредством Cu-катализируемой реакции азид-алкинового циклоприсоединения
macroheterocycles.isuct.ru
Редакционный отдел | Журнал "Макрогетероциклы"
В. Г. Ананд (Индия) - профессор
Professor Venkataramanarao Rao Anand Indian Institute of Science Education and Research Pune, Department of Chemistry
О. Бекароглы (Турция) - профессор
Professor Özer Bekaroğlu Istanbul Technical University, Department of Chemistry
Д. В. Бухлер (Германия) - профессор
Prof. Dr. rer.nat. Johann W. BuchlerTechnische Universitat Darmstadt, Department of Chemistry
Д. Вёрле (Германия) - профессор
Universitat Bremen, Institute of Organic and Macromolecular Chemistry
Ф.А. Гейл (Великобритания) - профессор
University of Southampton, Chemistry, Southampton
Э. И. Зенькевич (Беларусь) - профессор
Белорусский национальный технический университет
В. И. Кальченко (Украина) - член-корреспондент НАН Украины
Институт органической химии НАН Украины
Н. Кобаяши (Япония) - профессор
Tohoku University. Graduate School of Science, Department of Chemistry
Л. Латос-Гражиньский (Польша) - профессор
Wroclaw University, Institute of Chemistry
Е. А. Лукьянец (Россия) - д.х.н., профессор
ФГУП Государственный научный центр "НИОПИК”
А. Ф. Миронов (Россия) - д.х.н., профессор
Московский Государственный университет тонких химических технологий им. М. В. Ломоносова
Дж. Л. Сесслер (США) - профессор
The University of Texas at Austin, Department of Chemistry and Biochemistry
О. Г. Синяшин (Россия) - акад. РАН, д.х.н., профессор
Казанский национальный исследовательский технологический университет
Т. Торрес (Испания) - профессор
Universidad Autónoma de Madrid, Faculty of Science Department of Organic Chemistry
Х. Фурута (Япония) - профессор
Kyushu University, Department of Chemistry and Biochemistry
Х. Хомборг (Германия) - профессор
Christian-Albrechts-Univesity Kiel, Institute of Inorganic Chemistry
А. Ю. Цивадзе (Россия) - акад. РАН, д.х.н., профессор
Институт физической химии и электрохимии им. А.Н. Фрумкина РАН
В. Н. Чарушин (Россия) - акад. РАН, д.х.н., профессор
Институт органического синтеза им. И. Я. Постовского Уральского отделения РАН
О. Н. Чупахин (Россия) - акад. РАН, д.х.н., профессор
Институт органического синтеза им. И. Я. ПостовскогоУральского отделения РАН
К. Эрколани (Италия) - профессор
Universita degli Studi di Roma La Sapienza, Department of Chemistry
С. Циглер (США)
University of Akron, Department of Chemistry
Петра Зимчик (Чехия) - профессор
Charles University in Prague, Faculty of Pharmacy in Hradec Kralove
macroheterocycles.isuct.ru
Vol. 10. N 1 | Журнал "Макрогетероциклы"
Dipyrromethenes
Review
V. N. Nemykin, T. S. Blesener, C. J. Ziegler
Photophysics, Redox Processes, and Electronic Structures of Ferrocenyl-Containing BODIPYs, aza-BODIPYs, BOPHYs, Transition-Metal Dipyrromethenes and aza-Dipyrromethenes
Porphyrazines
Communication
N. V. Tverdova, N. I. Giricheva, D. S. Savelyev, M. S. Mikhailov, N. Vogt, O. I. Koifman, P. A. Stuzhin, G. V. Girichev
Molecular Structure of Tetrakis(1,2,5-thiadiazolo)porphyrazinatozinc(II) in Gaseous Phase

Phthalocyanines
Paper
M. S. Polyakov, T. V. Basova
Hybrid Materials of Zinc(II) Tetra-tert-butylphthalocyanine and Zinc(II) Tetra-tert-butylnaphthalocyanine with Single Walled Carbon Nanotubes: Structure and Sensing Properties

Porphyrins
Paper
N. Sh. Lebedeva, Y. A. Gubarev, A. V. Lyubimtsev, E. S. Yurina, O. I. Koifman
Thermodynamic Aspects of Binding Proteins with Porphyrins. Spectral and Thermochemical Approaches

Porphyrins
Paper
M. V. Tesakova, A. S. Semeikin, V. I. Parfenyuk
Synthesis, Electrochemical Properties and Antioxidant Activity of Hydroxy Substituted Tetraphenylporphyrins
Porphyrins
Paper
D. V. Belykh, A. L. Stolypko
A DOSY Spectroscopy Study of Proton Exchange Processes Involving Inner N-H Protons in Natural and Synthetic Porphyrins

Porphyrins
Paper
M. N. Kolyada, V. P. Osipova, N. T. Berberova, Yu. T. Pimenov, E. R. Milaeva
Decline of Prooxidant Activity of Butyl and Phenyl Derivatives of Tin in the Presence of meso-Tetrakis(3,5-di-tert-butyl-4-hydroxyphenyl)porphyrin

Porphyrins
Paper
S. Rayati, S. E. Ruzbahani, F. Nejabat
A Comparative Study of Catalytic Activity of Fe, Mn and Cu Porphyrins Immobilized on Mesoporous MCM-41 in Oxidation of Sulfides

Porphyrins
Paper
O. V. Maltceva, N. V. Chizhova, R. S. Kumeev, N. Zh. Mamardashvili
Тetraphenyltetrabenzoporphyrinates of NiII, PdII, PtII и PtIV

Porphyrins
Paper
D. B. Berezin, D. V. Belykh, O. M. Startseva, N. G. Manin, M. A. Krest’yaninov, A. V. Kustov
Solid State Physicoсhemical Study of Chlorophyll a Derivatives and Their Glycol Conjugates

Porphyrins
Communication
V. A. Zolottsev, O. V. Zazulina, G. E. Morozevich, M. G. Zavialova, A. Y. Misharin, R. A. Novikov, V. P. Timofeev, O. I. Koifman, G. V. Ponomarev
Conjugates of Pyropheophorbide a with Androgen Receptor Ligands
Porphyrins
Communication
O. I. Gushchina, M. Yu. Grishina, E. A. Larkina, V. S. Lebedeva, A. F. Mironov
Synthesis of Hydroxy Derivatives of Chlorin е6

Crown Ethers
Paper
A. N. Arkhipova, P. A. Panchenko, N. E. Schepel, Yu. V. Fedorov, M. N. Rumyantseva, A. V. Marikutsa, A. M. Gaskov, O. A. Fedorova
Synthesis, Optical Characteristics and Complex Formation of Molecular Receptors Based on 1,8-Naphthalimide Derivatives in Solution and in Composition of Hybrid Tin Dioxide Nanoparticles

Crown Ethers
Сommunication
T. H. Hieu, N. T. T. Phuong, A. T. Soldatenkov, V. E. Kotsuba, E. I. Polyakova, N. V. Tuyen, T. T. T. Van, D. T. T. Anh, L. T. Anh
Synthesis of Tetrakisbenzo-31(34)-crown-7(8) Ethers

N-Macrocycles
Paper
S. Z. Vatsadze, D. P. Krut’ko, A. J. Blake, P. Mountford
Piperazine-Based N4-Type 16-Membered Macroheterocycles and Their Nickel(II) Complexes
Cyclodextrins
Paper
Yu. I. Kostyukevich, A. S. Kononikhin, A. E. Bugrova, N. L. Starodubtzeva, I. A. Popov, E. N. Nikolaev
Investigation of Ion-Molecular Complexes of beta-Cyclodextrin with Proteins and Metals in Gas Phase

N,O-Macrocycles
Paper
Yu. V. Kharitonov, M. M. Shakirov, E. E. Shults
Synthesis of Novel Labdanoid-Based Macroheterocycles Using Click-Сycloaddition Reaction Protocol
macroheterocycles.isuct.ru







