6.11 Обработка журнала нивелирования. Журнал нивелирования
2.2. Нивелирование трассы
Методические указания к выполнению задания.
Для определения отметок всех закрепленных пикетных, плюсовых и других точек по трассе прокладывают ход технического нивелирования. Схема хода показана на рис. 2.4. Из рисунка видно, что нивелирный ход является разомкнутым, он начинается с закрепленного на местности пункта п.4 с известной отметкой и заканчивается на репереRp8 с известной отметкой. Значком обозначено место стояния (станция) нивелира. Пунктирные линии идут от станции на связующие точки.
На каждой станции (смотри пример на рис. 2.5) с помощью нивелира (приведенного в рабочее положение) берут отсчеты по нивелирным рейкам – по черной и по красной стороне. Отсчеты записывают в нивелирный журнал в виде четырехзначных чисел.
Нивелирный журнал с заданием приведен в Табл. 2.1

Рис. 2.4

а)
б)
Рис. 2.5
Выполнить. 5. Запишите исходные данные в журнал нивелирования и сделайте необходимые вычисления в журнале.
В табл. 2.3 показан образец заполнения нивелирного журнала и даны примеры расчетов.
Выполнить. 5.1. Найдите отметку п.4 в соответствии с вариантом. Для этого отделите в номере варианта слева направо три цифры, поставте запятую и допишите справа два нуля.
ПРИМЕР 2.5. Nвар = 0080. Тогда Нп.4 = 8,000м.
Выполнить. 5.2. Запишите отметку 8,000 в девятой колонке “отметки”, в первой строке на станции 1, напротив п.4.
Выполнить. 5.3. Вычислите отметку репера Rp8 по формуле:
,
где NN – две последние цифры номера варианта.
ПРИМЕР 2.6. Nвар = 0080. Тогда NN = 80мм.
м.
Выполнить. 5.4. Запишите отметку 8,196 в девятой колонке “отметки”, в третьей строке на станции 6, напротив Rp8.
Выполнить. 5.5. Вычислите средние превышения между связующими точками на каждой станции нивелирного хода.
ПРАВИЛО ВЫЧИСЛЕНИЯ ПРЕВЫШЕНИЯ: Для того, чтобы найти превышение передней точки над задней, нужно от отсчета по задней рейке вычесть отсчет по передней рейке.
ПРИМЕР 2.7. На станции 1 превышения вычислены следующим образом. Пункт 4 является задним, а пункт ПК0 – передним. Это определено направлением нивелирования (см. рис. 2.4). Поэтому, по правилу, нужно от черного отсчета по задней рейке (п.4) вычесть черный отсчет по передней рейке (ПК0) и от красного отсчета по задней рейке вычесть красный отсчет по передней рейке, т.е.
;
.
Расхождение между h' и h" не должно превышать в техническом нивелировании 5мм.
Результаты вычислений записаны в колонку “превышения из отсчетов” и мы видим, что расхождение между двумя значениями превышений находятся в пределах 5мм. Поэтому найдено среднее значение, которое записано в соответствующую колонку.
Таблица 2.3
Журнал нивелирования
| № станции | Назв. пунктов | Отсчеты по рейке | Превышения | Горизонт прибора | Отметки | |||
| задние | промежуточные | передние | из отсчетов | средние | ||||
| 1 | 2 | 3 | 4 | 5 | 6 | 7 | 8 | 9 |
| 1 | п.4 | 1570 | 8,000 | |||||
| 6354 | -2 | |||||||
| ПК0 | 0757 | +813 | +814 | 8,812 | ||||
| 5539 | +815 | |||||||
| 2 | ПК0 | 0326 | 8,812 | |||||
| 5108 | -2 | |||||||
| ПК1 | 2309 | -1983 | -1984 | 6,826 | ||||
| 7093 | -1985 | |||||||
| 3 | ПК1 | 0042 | 6,868 | 6,826 | ||||
| 4827 | ||||||||
| +87,1 | 2990 | -1 | 3,878 | |||||
| ПК2 | 2566 | -2524 | -2524 | 4,301 | ||||
| 7351 | -2524 | |||||||
| 4 | ПК2 | 2014 | 6,315 | 4,301 | ||||
| 6797 | ||||||||
| +64,8 | 1534 | -1 | 4,781 | |||||
| ПК3 | 0420 | +1594 | +1593 | 5,893 | ||||
| 5205 | +1592 | |||||||
| 5 | ПК3 | 0970 | 5,893 | |||||
| 5754 | -1 | |||||||
| К.Тр. | 1502 | -532 | -532 | 5,360 | ||||
| 6286 | -532 | |||||||
| 6 | К.Тр. | 2978 | 5,360 | |||||
| 7764 | -1 | |||||||
| Rp.8 | 0141 | +2837 | +2837 | 8,196 | ||||
| 4927 | +2837 | |||||||
| Σhср= | +204мм | |||||||
fh = Σhср – (HRp8 – Hп.4) = +204 – (8196 – 8000) = +204 –196 = +8 мм.
fhдоп = ±10мм√¯n = ±10мм√¯6 = 24,5мм.
На станции 2:
;
и т.д.
Аналогичные вычисления делают на других станциях. Таким образом, вычисляют средние превышеня между связующими точками на всех станциях, не принимая пока во внимание промежуточные отсчеты по рейке, записанные в четвертой колонке.
Выполнить. 5.6. Вычислите сумму средних превышений
.
ПРИМЕР 2.8. Просуммировав все средние превышения в колонке 7 табл.2.3, получим: +204мм.
Выполнить. 5.7. Уравняйте средние превышения, т.е. найдите их исправленные значения.
Каждый результат измерения содержит погрешность измерения.
Отсчеты по нивелирным рейкам содержат погрешности, которые при вычислениях определенным образом переходят в средние превышения. Если бы погрешностей измерений не было, то сумма средних превышений была бы точно равна разности конечной и начальной отметок, т.е.
.
В результате погрешностей измерений возникает невязка в превышениях fh .
.
Для технического нивелирования допустимое значение невязки равно:
,
где n – число станций в ходе.
ПРИМЕР 2.9. Пример вычисления невязки записан под табл.2.3.
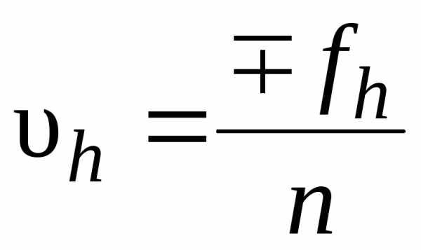
Чтобы ликвидировать невязку, нужно в средние превышения ввести поправки υh и найти, тем самым, исправленные средние превышения, сумма которых была бы равна нулю. Это процесс уравнивания.
ПРАВИЛО ВЫЧИСЛЕНИЯ ПОПРАВОК В ПРЕВЫШЕНИЯ:
1. Поправки вводятся практически поровну во все средние превышения в целых миллиметрах.
2. Знак поправки всегда противоположен знаку невязки.
3. Сумма поправок должна быть равна невязке (по абсолютной величине).
Из вычисления невязки видно, что
<
, тогда вычисляют поправки
.
По правилу:
.
Так как в нашем примере 8мм не делится нацело на 6 станций, то в средние превышения четырех станций вводят поправки по –1мм (знак поправок противоположен знаку невязки), а в средние превышения двух станций (в нашем случае л ю б ы х) вводят поправки по –2мм. При этом сумма поправок по абсолютной величине равна 8мм, т.е. невязке.
Как видим, вычисление поправок в примере соответствует всем трем пунктам ПРАВИЛА.
Поправки записывают сверху над средними превышениями красным цветом (миллиметры над миллиметрами).
Исправленные значения средних превышений не записывают, так как их легко вычислить “в уме”.
Выполнить. 5.8. Вычислите отметки связующих точек.
Вычисление выполните последовательным прибавлением (с учетом знака) исправленых средних превышений, начиная от отметки начального исходного пункта (репера) и заканчивая отметкой конечного исходного пункта (репера).
ПРИМЕР 2.10. Отметка исходного пункта п.4 равна 8,000м (см. журнал нивелирования, табл. 2.3). Прибавим к ней исправленное среднее превышение на первой станции. Получим отметку ПК0.
8,000м + 0,812м = 8,812м.
Запишем ее в девятой колонке, в третьей строке, напротив ПК0.
Запишем ее в той же колонке, в первой строке, на станции 2. Вычислим отметку ПК1. Для этого отнимем от отметки ПК0 исправленное среднее превышение на второй станции.
8,812м – 1,986м = 6,826м.
Запишем ее напротив ПК1 на второй и на третьей станциях. Вычислим отметку ПК2.
6,826м – 2,525м = 4,301м.
Запишем ее напротив ПК2 на третьей и на четвертой станциях. Вычислим отметку ПК3 и т.д.
Вычисления будем продолжать до тех пор, пока точно не получим отметку Rp8 на шестой станции. Совпадение с записанной отметкой 8,196 должно быть абсолютным, так как невязка ликвидирована введением поправок в средние превышения.
Выполнить. 5.9. Вычислите горизонт прибора на станциях, где есть промежуточные (плюсовые) точки.
Горизонт прибора (ГП) – это высота горизонтального визирного луча нивелира над отсчетной поверхностью (см. рис. 2.5,б).
Для того, чтобы найти горизонт прибора, нужно к известной отметке пункта прибавить отсчет по черной стороне рейки, которая стоит на этом пункте.
В общем случае
ГП = Н + а,
где Н – отметка пункта;
а – отсчет по черной стороне рейки, которая стоит на пункте.
ПРИМЕР 2.11. Из нивелирного журнала (табл. 2.3) видно, что промежуточные точки есть на станциях 3 и 4. На станции 3 мы знаем отметку пункта ПК1 и ПК2. НПК1 = 6,826м; НПК2 = 4,301м. Пункт ПК1 – задний, ПК2 – передний. На задний пункт отсчет по черной стороне рейки равен 0042, а на передний – 2566. Горизонт прибора на станции 3 можно найти так:
ГП3= НПК1+ 0042 = 6,826м + 0,042м = 6,868м.
или для контроля:
ГП3= НПК2+ 2566 = 4,301м + 2,566м = 6,867м.
Запишем горизонт прибора в колонке 8, в верхней строке на станции.
Аналогично вычисляют ГП на станции 4.
Выполнить. 5.10. Вычислите отметки промежуточных (плюсовых) точек, используя горизонт прибора.
Для того, чтобы найти отметку промежуточной точки через горизонт прибора, нужно от ГП вычесть отсчет по черной стороне рейки, которая стоит на промежуточной точке.
ПРИМЕР 2.12. Из нивелирного журнала (табл. 2.3) видно, что на станции 3 промежуточной является плюсовая точка +87,1. Отсчет по черной стороне рейки, которая стоит на этой точке, равен 2990. Он записан в четвертой колонке, напротив точки +87,1. Так как горизонт прибора на станции 3 равен 6,868, то
Н87,1 = ГП – 2990 = 6,868м – 2,990м = 3,878м.
Это же видно из рис. 2.5,б.
Запишем отметку промежуточной точки в колонке 9, напротив этой точки.
Аналогично вычисляют отметку промежуточной точки на станции 4.
На этом обработку нивелирного журнала считают законченной.
studfiles.net
ЖУРНАЛ НИВЕЛИРОВАНИЯ ТРАССЫ - PDF
Транскрипт
1 Министерство сельского хозяйства Российской Федерации Красноярский государственный аграрный университет ЖУРНАЛ НИВЕЛИРОВАНИЯ ТРАССЫ Рабочая тетрадь к выполнению расчетно-графической работы Вариант 10 Выполнил ст-т. Красноярск 2009
2 ББК 26 Рецензент М.Г. Ерунова, канд. техн. наук, доцент каф. аэрокосмического мониторинга, картографии и геоинформатики Составители: Шумаев К.Н. Сафонов А.Я. Шумаев, К.Н. Ш 96 Журнал нивелирования трассы: рабочая тетрадь к выполнению расчѐтно-графической работы. Вариант 10 / К.Н. Шумаев, А.Я. Сафонов; Краснояр. гос. аграр. ун-т. Красноярск, с. Рабочая тетрадь составлена в соответствии с утверждѐнной программой курсов «Геодезия», «Инженерная геодезия». В рабочей тетради подробно изложена последовательность выполнения расчѐтов и построений при обработке полевого журнала нивелирования трассы и вычерчивания профиля заданного варианта, приведены необходимые требования по оформлению продольного профиля трассы. Предназначена для самостоятельной работы студентов землеустроительного факультета направлений «Землеустройство и кадастры», «Землеустройство», «Земельный кадастр», «Городской кадастр», «Природообустройство», «Мелиорация, рекультивация и охрана земель» очной и заочной форм обучения. ББК 26 Печатается по решению редакционно-издательского совета Красноярского государственного аграрного университета Красноярский государственный аграрный университет, 2009
3 ИНДИВИДУАЛЬНЫЕ ИСХОДНЫЕ ДАННЫЕ 1. Отсчѐты по рейкам, установленным на связующих точках (черныѐ и красные) и промежуточных точках (чѐрные). Нивелирование технической точности выполнено по двусторонним нивелирным рейкам РН 3000-СП нивелиром 3Н-3КЛ (см. страницу 4). 2. Отметки двух грунтовых реперов, к которым выполнена привязка нивелирного хода: Н Rp нач. = м, Н Rp кон. = м. 3. Измеренный дирекционный угол начального направления трассы α 1 = 4. Измеренные углы поворота трассы с указанием точки вершины поворота трассы: α прав.= на ПК; α лев.= на ПК. 5. Радиусы сопрягающих круговых кривых: R 1 = м; R 1 = м. 6. Элементы круговой кривой и порядок разбивки пикетажа представлены на рисунке 1 (пример): Рисунок 1 Элементы круговой кривой и разбивка пикетажа на кривой 3
4 Номер станции Точка наблюдения Отсчѐт по рейке, мм Превышения, мм Задние Передн. Промежут Rp ПК ПК ПК ПК ПК ПК ПК ПК ПК ПК Постраничный контроль Σ - h 1 = = h 2 = = 4
5 Средние превышения, мм + - Исправл. превыш., мм Отметки ГП, м Отметки точек, м Примечания h 3 = = 5
6 Номер станции Точка наблюдения Отсчѐт по рейке, мм Превышения, мм Задние Передн. Промежут ПК ПК ПК ПК ПК ПК ПК Х Х ПК ПК ПК Х Постраничный контроль Σ - h 1 = = h 2 = = 6
7 Средние превышения, мм + - Исправл. превыш., мм Отметки ГП, м Отметки точек, м Примечания h 3 = = 7
8 Номер станции Точка наблюдения Отсчѐт по рейке, мм Превышения, мм Задние Передн. Промежут Х ПК ПК ПК ПК ПК ПК ПК ПК ПК Постраничный контроль Σ - h 1 = = h 2 = = 8
9 Средние превышения, мм + - Исправл. превыш., мм Отметки ГП, м Отметки точек, м Примечания h 3 = = 9
10 Номер станции Точка наблюдения Отсчѐт по рейке, мм Превышения, мм Задние Передн. Промежут ПК ПК ПК Rp Постраничный контроль Σ - h 1 = = h 2 = = 10
11 Средние превышения, мм + - Исправл. превыш., мм Отметки ГП, м Отметки точек, м Примечания h 3 = = 11
12 ОБРАБОТКА ЖУРНАЛА НИВЕЛИРОВАНИЯ 1. Вычислить превышения на станции как разность отсчѐтов задних и отсчѐтов передних, сделанных по рейкам, отдельно по чѐрной и красной сторонам: h = a ч зад. b ч пер.; (1) h = a кр зад. b кр пер. (2) 2. Найти среднее превышение на станции: h h êð h ñð. (3) 3. Произвести постраничный контроль. Контроль состоит в следующем. Подсчитывается сумма отсчѐтов по чѐрной и красной сторонам задней рейки (Σа зад. ), затем, подсчитывается сумма отсчѐтов по чѐрной и красной сторонам передней рейки (Σв пер. ), и определяется первое превышение: a зад. в пер. h. (4) Подсчитывается сумма положительных превышений, вычисленных по чѐрной и красной сторонам рейки Σ(+)h выч., затем сумма отрицательных превышений, вычисленных по чѐрной и красной сторонам рейки Σ(-)h выч., и определяется второе превышение: 2 2 (. ) h выч. ( ) h выч 2 h. (5) Подсчитывается сумма положительных средних превышений Σ(+)h ср., затем сумма отрицательных средних превышений Σ(-)h ср., и определяется третье превышение: h (6) 3 ( ) h ср. ( ) hср.
13 Полученные на странице превышения постраничного контроля h 1, h 2, h 3 не должны отличаться более чем на 1 миллиметр. 4. Определить высотную невязку по ходу и сравнить еѐ с допустимой: Невязка хода: fh h Í Í (7) ñð. Rpêîí. Rpíà. Допустимая невязка: fh äîï 50. L (8) 5. Распределить высотную невязку в средние превышения. В средние значения превышений h ср. вводится поправка δ. Поправка вводится со знаком, обратным знаку невязки, поровну во все станции, но с округлением еѐ до целых миллиметров. Поправка выписывается над средними превышениями. Для контроля правильности распределения поправок подсчитывается сумма введѐнных поправок. Она должна равняться невязке с обратным знаком. Затем вычисляются исправленные превышения: h испр. = h ср. + δ. (9) 6. Вычислить высотные отметки связующих точек. По отметке начального репера Н нач. и исправленным превышениям h испр. вычисляют отметки для связующих точек: Н n+1 = H n + h испр. (10) 7. Вычислить горизонт прибора (ГП) для тех станций, где есть промежуточные точки, по отметкам задних и передних точек: ГП 1 = Н зад. + а ч ; (11) ГП 2 = Н пер. + в ч ; (12) 13
14 ГП ср = (ГП 1 + ГП 2 ) / 2. (13) 8. Вычислить отметки промежуточных точек: Отметка промежуточной точки определяется как разность между горизонтом нивелира (высота луча визирования) ГП ср. и отсчѐтом на промежуточную точку по чѐрной стороне рейки а пром. : Н пром. = ГП ср. - а пром. (14) РАСЧЁТ ЭЛЕМЕНТОВ КРУГОВОЙ КРИВОЙ Для первой круговой кривой: T R tg = (15) 2 R K = (16) 180 где Б R R R( sek 1) = (17) 2 cos 2 Д 2 Т К = (18) Для второй круговой кривой: T R tg = 2 R K = 180 где
15 Б R R R( sek 1) = 2 cos 2 Д 2 Т К = РАСЧЕТ ПИКЕТАЖНОГО ПОЛОЖЕНИЯ ГЛАВНЫХ ТОЧЕК КРИВОЙ Для первой круговой кривой. Исходя из полученных в предыдущем разделе элементов кривой, пикетажные положения начала, середины и конца кривой составят: ВУП ПК -Т. НК ПК +К. КК ПК -0.5К. СК ПК Необходимо выполнить контрольные вычисления для КК: ВУП ПК +Т. ПК -Д. КК ПК Расхождения между КК не должны превышать 3 см. Необходимо выполнить контрольные вычисления для СК: 15
16 НК ПК +0.5 К. СК ПК Для второй круговой кривой. Исходя из полученных в предыдущем разделе элементов кривой, пикетажные положения начала, середины и конца кривой составят: ВУП ПК -Т. НК ПК +К. КК ПК -0.5К. СК ПК Необходимо выполнить контрольные вычисления для КК: ВУП ПК +Т. ПК -Д. КК ПК Расхождения между КК не должны превышать 3 см. Необходимо выполнить контрольные вычисления для СК: НК ПК +0.5 К. СК ПК 16
17 СОСТАВИТЬ ВЕДОМОСТЬ ПРЯМЫХ ВСТАВОК И КРУГОВЫХ КРИВЫХ Таблица 1 Ведомость прямых вставок и кривых точек ПК0 1 2 ВУП, м ПК ПК Лево Угол, ' Элементы кривой, м Положение, м Длина, м Направление, ' Правус генс вая мер НК КК Ради- Тан- Кри- До- Румб Биссектриса Прям. вставка Расст. между ВУП Дирекц. угол ПК20 Σ Контроли: 1. 2ΣТ ΣК = ΣД 2. Σd пр. + ΣК = Σd ВУП ΣД = L Ведомость строится на стандартном листе. Определение дирекционных углов, следующих после поворота направлений, можно произвести по следующим формулам: A A n 1 n ïðàâ. A A n 1 n ëåâ. 17 (19)
18 ПОСТРОИТЬ ПРОДОЛЬНЫЙ ПРОФИЛЬ ТРАССЫ Нивелирование трассы, как и всякая съѐмочная работа, завершается графическим построением. Продольный профиль это условное изображение на бумаге вертикального разреза местности по линии нивелирования. Профиль является одним из основных документов, по которому выполняют проектирование, а затем и строительство линейного объекта. Он строится на масштабно-координатной миллиметровой бумаге по ширине в размер стандартного листа, а длина определяется длиной трассы и заданным масштабом профиля. Профиль составляется на основании пикетажного журнала и данных журнала нивелирования трассы. Для продольного профиля автомобильной дороги установлен горизонтальный масштаб 1 : 5 000, а вертикальный для большей наглядности чертежа в десять раз крупнее, соответственно 1 : 500. Построение профиля начинают с нанесения профильной сетки (графы и строки) на миллиметровую бумагу. Оставляют поля: слева 20 мм (для подшива), снизу и сверху по 20 мм (для нумерации страниц и обрезки), справа 10 мм (для обрезки). В строке «Расстояния» в принятом горизонтальном масштабе откладывают вертикальными линиями пикеты и плюсовые точки. В пределах каждого пикета пишут расстояния между плюсовыми точками и пикетами, дополняя их в правой части до 100 метров. Там, где нет плюсовых точек, длину между пикетами (100 м) не пишут. Под линией строки расстояний выписывают номера пикетов. Номера пикетов, кратные 10, пишут полностью, для остальных пишут только последнюю цифру. Строка «Отметки земли по оси дороги» заполняется по данным нивелирования трассы. Отметки пикетов и плюсовых точек выписываются с точностью до сотых долей метра симметрично вертикальных линий, проведѐнных в строке расстояний. Отметка выписывается в вертикальном направлении. После построения сетки от линии условного горизонта в принятом вертикальном масштабе откладывают отметки точек земли как пикетов, так и плюсовых точек. Проводят 18
19 Рисунок 2 Продольный профиль автомобильной дороги г. Павловск Карьер 19
20 вертикальные линии от полученных точек до линии условного горизонта. Полученные верхние точки отрезков последовательно соединяют между собой прямыми линиями. Полученная ломаная линия является профилем местности по оси трассы линейного объекта. Для заполнения строки «План линии» используют расчѐты пикетажного положения начала и конца круговых. От точек начала и конца круговой кривой проводят вертикальные линии до строки пикеты. Возле этих линий пишут: слева расстояние от ближайшего младшего пикета до линии и справа расстояние от линии до ближайшего старшего пикета. Сумма внутренних расстояний должна соответствовать длине круговой кривой. План линии трассы вычерчивается красным цветом. ОФОРМЛЕНИЕ ПРОФИЛЯ После проверки расчѐтов и построений обводят тушью. Чѐрным цветом показывают элементы, характеризующие существующую поверхность: пикеты, расстояния, ситуацию, линию профиля поверхности земли, грунты по линии трассы и отметки поверхности земли. Красным цветом показывают все проектируемые элементы: план трассы в прямых вставках и круговых кривых, ось трассы линейного сооружения в строке «Ситуация», проектные уклоны, проектные отметки, рабочие отметки, проектную линию профиля объекта и условные знаки на ней. Три горизонтальные линии профильной сетки, ограничивающие строки «Отметки проектной бровки полотна», «Проектные уклоны», вычерчивают также красным цветом. Синим цветом показывают: горизонты вод, отметки воды у искусственных сооружений, отметки нулевых точек и их вертикальные линии, гидрографию в строке «Ситуация». Окрашивают: а) синим цветом слабого тона элементы гидрографии; б) красным цветом продольное сечение насыпи на профиле; в) жѐлтым цветом слабого тона продольное сечение выемки на профиле. 20
21 Так как по заданию расчѐтно-графической работы по геодезии на землеустроительном факультете не требуется выполнять проектирование, то допустимо все линии профиля и надписи выполнить только чѐрной тушью. Линии проводят толщиной: а) сетка профиля 0.5 мм; б) план трассы и осевая линия строки «Ситуация» 0.8 мм; в) ординаты (вертикальные линии), соответствующие пикетам, 0.4 мм; г) ординаты (вертикальные линии), соответствующие плюсовым точкам, 0.2 мм; д) линия земли по оси дороги (линия профиля) 0.2 мм. Цифры и надписи на профиле пишут высотой: а) километровые знаки 3 мм; б) пикеты 3 мм; в) отметки земли по оси дороги 3 мм; г) отметки реперов 3 мм; д) длина прямых вставок, элементы круговых кривых, дирекционные углы и румбы 2 мм; е) надписи 3 мм. Точность приводимых данных: а) отметки реперов выписывают с точностью до тысячных долей метра; б) остальные отметки округляют до сотых долей метра; в) величины прямых вставок, круговых кривых, начало и конец кривой, расстояния подписывают с точностью до сотых долей метра; г) проектные уклоны записывают не в долях, а в промилях. Основная надпись. Профиль внизу подписывается основной надписью. После слова «Рисунок» ставится его порядковый номер среди приведѐнных иллюстраций арабскими цифрами, затем после знака тире с прописной буквы строчными пишется его название. Например, «Рисунок 2 Продольный профиль автомобильной дороги г. Павловск Карьер». Численные масштабы горизонтальный и вертикальный подписываются слева от вертикальной оси над боковиком профильной сетки. 21
22 ЖУРНАЛ НИВЕЛИРОВАНИЯ ТРАССЫ Рабочая тетрадь к выполнению расчѐтно-графической работы Вариант 10 ШУМАЕВ КОНСТАНТИН НИКОЛАЕВИЧ САФОНОВ АЛЕКСАНДР ЯКОВЛЕВИЧ Редактор К.О. Тимофеева Санитарно-эпидемиологическое заключение П от г. Подписано в печать Формат 60х84/16. Бумага тип. 1. Печать ризограф. Объѐм п.л. Тираж 100 экз. Заказ Издательство Красноярского государственного аграрного университета , Красноярск, ул. Ленина, 117
docplayer.ru
6.11 Обработка журнала нивелирования
и составление профиля трассы
В журнале нивелирования (см. таблицу 6.1) для каждой станции вычисляют среднее значение превышения как среднее арифметическое из превышений, полученных по черным и красным сторонам реек. Например, для первой станции
hср = [ – 1285 + ( – 1283)]/2 = −1284 мм.
Средние превышения записывают в графы 8 или 9 в зависимости от знака. Если среднее превышение оканчивается на 0,5 мм, то результат округляют до 1 мм к ближайшей четной цифре. Например: hср = 1984,5 = 1984 мм; hср = 2113,5 = 2114 мм.
На каждой странице журнала выполняют постраничный контроль, проверяя равенство:
(ΣЗ –ΣП)/2 = Σ(+h)ср + Σ(–h)ср = Σhср.
Например, в таблице 6.1
(ΣЗ – ΣП)/2 = −2676; Σhср = −2676.
За счет ошибок округлений допускаются расхождения в равенстве постраничного контроля в пределах 1–2 мм.
Если нивелирование трассы привязано к реперам, то вычисляют невязку в превышениях по формуле
fh = Σhср – (Нкон− Ннач),
где Ннач и Нкон – отметки начального и конечного реперов;
fh – невязка (должна быть меньше ±50 мм√L).
Например, если L = 2 км, то fhдоп = ±50 мм
= ±70 мм.
Невязку распределяют с противоположным знаком поровну, на средние превышения хода, округляя до 1 мм, при этом сумма поправок должна равняться невязке с обратным знаком. Поправки в превышениях записывают в журнал нивелирования (над средними превышениями). Далее по высотам (отметкам) реперов трассы и уравненным превышениям (средние превышения с учетом поправок) вычисляют высоты всех связующих точек трассы по правилу: высота последующей точки Нпосл равна высоте предыдущей Нпред плюс уравненное уравнение h между ними:
Нпосл = Нпред + h.
Высоты плюсовых (промежуточных) точек и точек на поперечниках вычисляют через горизонт нивелира. Горизонт нивелира ГН равен высоте точки плюс отсчет по черной стороне рейки на этой точке, например, на второй станции (см. таблицу 6.1) горизонт нивелира
ГН = Нпк0 + З; ГН = 58,385 + 1,134 = 59,519 м.
Высоты промежуточных точек +20 и +60 получены как горизонт нивелира на второй станции минус отсчет по рейке на этих точках:
Н+20 = 59,519 − 0,944 = 58,575 м; Н+60 = 59,519 − 0,712 = 58,807 м.
Аналогично через горизонт нивелира вычисляют высоты точек поперечника на пикете 3 (см. таблицу 6.2).
После обработки журнала нивелирования приступают к составлению профилей трассы. Профили дорог составляют в масштабах: горизонтальном – 1: 10000, вертикальном – 1: 200. При составлении профилей следует руководствоваться установленными образцами, на которых показана принятая сетка профиля для записи необходимых для проектирования данных (рисунок 6.20).
Масштабы: горизонтальный 1:10000
вертикальный 1:200
Рисунок 6.20 – Продольный профиль трассы
Продольный профиль составляют в такой последовательности:
1 На миллиметровой бумаге вычерчивают сетку профиля. Заполняют графы «Пикеты» и «Километры». Каждый десятый пикет подписывают полным номером, а остальные – только последней цифрой 1, …, 9.
2 Заполняют графы «Расстояния», «Отметки земли» и «Ординаты». В графах «Расстояния» и «Ординаты» проводят вертикальные линии на пикетах и плюсовых точках и в графе «Расстояния» отмечают расстояния между смежными ординатами, контролируя их сумму. В графу «Отметки земли» выписывают высоты точек из журнала нивелирования с округлением до 1 см.
3 Расписывают вертикальный масштаб от линии условного горизонта (верхняя линия сетки профиля) и по отметкам земли делают наколку профиля. Расстояние между линией профиля и линией условного горизонта должно быть не менее 6 см.
4 По данным пикетажного журнала заполняют графу «Ситуация», где у оси трассы, нанесенной в виде прямой линии, указывают ситуацию дорожной полосы.
5 В графе «План линии» показывают прямые и кривые участки трассы и их числовые характеристики. При угле поворота трассы вправо условное обозначение кривой показывают в виде дуги 5 мм вверх от осевой линии, а при левом повороте – вниз. Внутри дуг записывают основные элементы кривых: φ, R, Т, К. Начало и конец кривой отмечают перпендикулярами от осевой линии до линии пикетов. На перпендикулярах записывают расстояния от начала и конца кривой до ближайших пикетов. Для прямолинейных участков показывают их длины и дирекционные углы или азимуты. Длины прямых участков трассы получают как разность пикетажных значений начала последующей кривой и конца предыдущей кривой и записывают над осевой линией. Дирекционные углы вычисляют по правилу: дирекционный угол последующей прямой равен дирекционному углу предыдущей плюс правый угол поворота или минус левый. Их значения записывают под прямой линией.
6 В соответствии с заданными техническими условиями при достижении минимального объема выемок и насыпей, баланса земляных работ путем последовательных проб наносят проектную (красную) линию. Проектные отметки точек перелома проектной линии определяют графически. По ним с точностью до 0,0001 вычисляют уклоны (частное от деления превышений на горизонтальные длины линий) и выписывают в соответствующую графу сетки профиля. После этого вычисляют проектные отметки всех пикетов и плюсовых точек по следующему правилу: проектная отметка последующей точки равна проектной отметке предыдущей плюс произведение уклона линии на горизонтальное расстояние между точками.
7 Вычисляют рабочие отметки как разность между проектными отметками и отметками земли. Рабочие отметки насыпей выписывают на профиле над проектной линией, а рабочие отметки выемок – под проектной линией.
8 Аналитически рассчитывают положение точек нулевых работ (точки пересечения линии земли с проектной линией):
Х = a d/(a + b),
где Х – расстояние от точки нулевых работ до точки с рабочей отметкой a;
a и b – рабочие отметки ближайших пикетов или плюсовых точек, меж-
ду которыми находится точка нулевых работ;
d – горизонтальное расстояние между рабочими отметками
Профиль вычерчивают и оформляют в соответствии с образцом (см. рисунок 6.20). Проектные данные на нем показывают красным цветом, точки нулевых работ и расстояния до них – синим, все остальное оформление делают черным цветом.
Поперечные профили составляют на миллиметровой бумаге в масштабах: горизонтальный – 1:1000, вертикальный – 1:100 (рисунок 6.21).
Горизонтальные расстояния до точек перегиба профиля на поперечнике откладывают вправо и влево от осевой точки трассы, на которой производилась разбивка поперечника. Высоты точек поперечника откладывают по вертикали от принятого условного горизонта в соответствующем масштабе.
studfiles.net
Обработка журнала нивелирования
⇐ ПредыдущаяСтр 4 из 5Следующая ⇒Нивелирный журнал обрабатывается в следующем порядке:
1. Вычисляют превышение передних связующих точек над задними
hч = ач – bч,
hк = ак – bк ,
где hч – превышения вычисленные по расчетам aч и bч по черной стороне рейки;
hк – превышения вычисленные по расчетам ак и bк по красной стороне рейки.
Среднее превышение вычисляют по формуле:
.
2. Производят постраничный контроль вычисления превышения. Для этого необходимо найти:
- сумму всех задних отсчетов,
- сумму всех передних отсчетов,
- алгебраическую сумму вычисленных превышений,
- алгебраическая сумма средних превышений.
Контролем правильности вычислений на каждой странице журнала служит равенство
3. Вычисляют отметки всех связующих точек по исходной отметке репера №256 (по своему варианту). Формула для вычисления:
,
где - отметка передней точки;
- отметка задней точки;
- превышение передней точки В над задней точкой А.
4. Определяют высотную невязку и сравнивают её с допустимой.
,
где - высотная невязка,
- вычисленная отметка конечного репера №149,
- задняя отметка конечного репера №149.
,
где - допустимая высотная невязка,
- длина нивелирного хода в километрах.
Если , то производят увязку нивелирного хода. Для этого вносят поправки в середине превышения связывающих точек со знаком обратным знаку невязки (с точностью до 1мм).
Определяют увязанные отметки связующих точек по формуле:
,
где - вычисленные превышения,
- увязанные превышения.
4. Вычисляют отметки промежуточных точек по формулам:
; ,
где ГИ – горизонт инструмента,
НА – отметка задней связующей точки,
НС – отметка промежуточной точки,
а – задний отсчет,
с – промежуточный отсчет.
5. Все вычисленные данные заносят в журнал нивелирования и производят постраничный контроль.
6. Аналогично определяют отметки промежуточных точек при нивелировании поперечника. Значение абсолютной отметки ПК14 записывают в журнал нивелирования поперечника из нивелирного журнала трассы (графа «исправленные абсолютные отметки»).
Пример выполнения задания.
Произведем обработку нивелирного журнала ПК0-ПК10
Нрп.№256=185.600 м,
Нрп.№149=161,090 м.
1. Вычислим превышение передних связующих точек над задними. Превышения, вычисленные по отсчетам черной стороны рейки (в мм)
hПК0 = 0330 – 3859 = -3529,
hПК1 = 1275 – 3790 = -2515,
h+20 = 0277 – 2035 = -1758,
hПК2 = 0950 – 3400 = -2450,
hПК3 = 1020 – 3990 = -2970,
hПК4 = 0489 – 3895 = -3406,
hХ = 1878 – 2816 = -0938,
hПК5 = 0710 – 3605 = -2895,
hПК6 = 0304 - 3765= -3461,
hПК7 = 1930 – 3096 = -1166,
hПК8 = 0510 – 0533 = -0023,
hПК10 = 1950 – 1340 = 0610.
Превышения, вычисленные по отсчетам красной стороны рейки (в мм)
hПК0 = 5182 – 8709 = -3527,
hПК1 = 6125 – 8642 = -2517,
h+20 = 5127 – 6883 = -1756,
hПК2 = 5800 – 8252 = -2452,
hПК3 = 5871 – 8839 = -2968,
hПК4 = 5359 – 8747 = -3408,
hХ = 6729 – 7665 = -0936,
hПК5 = 5561 – 8458 = -2897,
hПК6 = 5154 – 8617 = -3463,
hПК7 = 6781- 7949 = -1168,
hПК8 = 5360 - 5381= -0021,
hПК10 = 6800 – 6188 = 0612.
Определяем среднее превышение (в мм):
2. Вычисленные данные записываем в журнал нивелирования и производим постраничный контроль.
3. Вычисляем отметки связующих точек по исходной отметке репера №256.
HПК0 = 185,600 - 3,528 = 182,072 м,
HПК1 = 182,072 - 2,516 = 179,556 м,
H+20 = 179,556 - 1,757 = 177,799 м,
HПК2 = 177,779 - 2,451 = 175,348 м,
HПК3 = 175,348 - 2,969 = 172,379 м,
HПК4 = 172,379-3,407 = 168,972 м,
HХ = 168,972 - 0,937 = 168,035 м,
HПК5 = 168,035 - 2,896 = 165,139 м,
HПК6 = 165,139 - 3,462 = 161,677 м,
HПК7 = 161,677 - 1,167 = 160,510 м,
HПК8= 160,510 – 0,022 = 160,488 м,
HПК10 = 160,488 + 0,611 = 161,099 м.
4. Определим высотную невязку и сравним её с допустимой.
Предельно допустимая невязка,
Для увязки нивелирного хода вносим поправки в средние превышения связующих точек со знаком, обратным знаку невязки. Вычислим исправленные превышения (в мм), распределив невязку – 9 мм на 9 превышений
hПК1 =-2516 – 1 = - 2517,
h+20= -1757 – 1 = - 1758
Определяем увязанные отметки связующих точек
HПК0 = 182,072 м (поправка не вносилась),
HПК1 = 182,072 - 2,517 = 179,555 м,
H+20 = 179,555 - 1,758 = 177,797 м,
HПК2 = 177,797 - 2,452 = 175,345 м,
HПК3 = 175,345 - 2,970 = 172,375 м,
HПК4 = 172,375 – 3,408 = 168,967 м,
HХ = 168,967 - 0,938 = 168,029 м,
HПК5 = 168,029 - 2,897 = 165,132 м,
HПК6 = 165,132 - 3,463 = 161,669 м,
HПК7 = 161,669 - 1,168 = 160,501 м,
HПК8 = 160,501 – 0,022 = 160,479 м,
HПК10 = 160,479 + 0,611 = 161,090 м.
Исправленные отметки точек заносим в журнал нивелирования (табл.27 )
5. Вычисляем отметки промежуточных точек по ГИ (горизонту инструмента)
ГИ11= HПК7+апк7
ГИ11=160,501 + 0.510 = 161,011м,
Н+45= ГИ11 –с+45
Н+45=161,011– 3,675 = 157,336 м,
ГИ12= HПК8+апк8
ГИ12=160,479 + 1,950 = 162,429 м,
Нпк9 =162,429 –2.650=159,779 м
6. Все вычисленные данные заносим в журнал нивелирования (табл. 29).
7. Аналогично определяем отметки промежуточных точек при нивелировании поперечника. Значение абсолютной отметки ПК14 записываем в журнал нивелирования поперечника из нивелирного журнала трассы (графа «исправленные абсолютные отметки»).
Журнал технического нивелирования трассы ПК 0 − ПК 10.
Таблица№29
| № Станции | № Пикетов | Отсчеты по рейке | Превышения (мм) | Горизонт Инструмента (м) | Отметка точек H (м) | |||||||||
| Зад-ние | Перед-ние | промежуточные | вычисленные | средние | исправленные | вычисленные | исправленные | |||||||
| + | - | + | - | + | - | |||||||||
| РП256 | 185,600 | 185,600 | ||||||||||||
| ПК 0 | 182,072 | 182,072 | ||||||||||||
| ПК 1 | -1 | 179,556 | 179,555 | |||||||||||
| +20 | -1 | 177,799 | 177,797 | |||||||||||
| ПК 2 | -1 | 175,348 | 175,345 | |||||||||||
| ПК 3 | -1 | 172,379 | 172,375 | |||||||||||
| ПК 4 | -1 | 168,972 | 168,967 | |||||||||||
| ПК Х | -1 | 168,035 | 168,029 | |||||||||||
| ПК 5 | -1 | 165,139 | 165,132 | |||||||||||
| ПК 6 | -1 | 161,677 | 161,669 | |||||||||||
| ПК 7 | -1 | 160,510 | 160,501 | |||||||||||
| +45 | 161,011 | 157,336 | ||||||||||||
| ПК 8 | 160,488 | 160,479 | ||||||||||||
| ПК 9 | 162,429 | 159,779 | ||||||||||||
| ПК 10 | -1 | 161,099 | 161,090 |
| ∑ач | =11623 | ∑вч = | +∑hвыч | =1222 | +∑hув= | Нрп10-Нрп256= 161,099-185,600= -24,501м | |||||||||||||||||||||
| ∑ак | =69829 | ∑вк = | -∑hвыч | =-0224 | -∑hув= | -25120 | |||||||||||||||||||||
| ∑а | =81452 | ∑в = | -19.011 | ∑hув= | 0611-25120= =-24,510м | ||||||||||||||||||||||
Журнал нивелирования поперечника ПК 14
Таблица 30
| № станции | № пикета | Отметки по рейке | Превышение | Среднее превышение | ГИ | Абсолютная отметка | |||||
| задний | передний | промежуточный | + | - | + | - | Вычисленные | исправленные | |||
| ПК 14 | |||||||||||
| Л +19 | |||||||||||
| Л +50 | |||||||||||
| П +35 | |||||||||||
| П +50 | |||||||||||
| ПК 13 | |||||||||||
Читайте также:
lektsia.com
Обработка журнала геометрического нивелирования
Вычисляют превышения между связующими точками:
hчерн = Зчерн - Пчерн
hкр = Зкр - Пкр
Расхождение между превышениями по черной и красной сторонам реек
не должно превышать ± 5 мм.
Вычисляют среднее превышение:
hср. = (hчёр. + hкр.)/2
которое округляют до целого количества миллиметров.
Для контроля правильности вычислений в журнале выполняют
постраничный контроль:
( З - П)/2 = h/2 = hср.
где ∑3 - сумма задних отсчетов
∑П - сумма передних отсчетов
hср. - сумма средних превышений
По известным отметкам (графа 11) начальной (репер №19) и ко-
нечной (репер №20) точек хода вычисляют теоретическую сумму превы-
шений:
∑h т = Нрп20 - Нрп19
Вычисляют высотную невязку fh
fh = ∑ hс р.- ∑ hт.,
где hср. – сумма средних превышений по всему ходу
Вычисляют допустимую невязку
fhдоп. = ± 50 мм √ L,
где L - число километров в ходе.
4. Если fh ≤ fhдоп, то в средние значения превышений вводят поп-
равки со знаком, обратным знаку невязки. Поправки вводят поровну ( с
округлением до целых миллиметров) во все превышения. Контролем
является сумма исправленных превышений, которая должна быть равна
теоретической сумме превышений.
5.Вычисляют последовательно отметки всех связующих точек хо-
да:
Нn+1 = Нn + испр hi ,
Где испр.hi - среднее превышение с учётом поправки.
Контролем правильности вычислений отметок является получение в кон-
це хода известной отметки НРn20 конечной точки.
На станциях 3 и 5 вычисляют значения горизонта прибора.
Для каждой станции это делают дважды - по наблюдениям на заднюю
и переднюю точки: ГП равен отметке Н точки плюс отсчет по черной сто-
роне рейки, стоявшей на этой точке. Расхождение между двумя вычислен-
ными значениями ГП допускают в пределях ± 5 мм; среднее значение
ГП записывают в графу 10 журнала.
На станциях 3 и 5 вычисляют отметки промежуточных точек.
Отметка промежуточной точки равна ГП на данной станции минус отсчёт
по рейке, стоявшей на этой промежуточной точке.
Построение продольного профиля
Продольный профиль строят по данным пикетажного и нивелирного журналов.
Для построения берут лист миллиметровой бумаги размером 65Х30 см. Сначала профиль строят в карандаше, затем профиль оформляюют гейлевой ручкой. На рис.7 приведён образец части профиля , составленного для одного из вариантов.

Рисунок 7 - Образец оформления части продольного профиля
Построение выполняют в такой последовательности:
1.В нижней левой части листа заготавливают сетку (разграфку) профиля со следующими сверху вниз горизонтальными графами (рис.7):
1) План трассы ширина графы 20 мм
2) Уклоны (в тысячных) -------------------- 10 мм
3) Проектные отметки -------------------- 15 мм
4) Фактические отметки -------------------- 15 мм
5) Расстояния -------------------- 10 мм
6) План прямых и кривых -------------------- 30 мм
Верхняя линия профильной сетки называется линией условного горизонта. Её следует вычертить на утолщённой (жирной) горизонтальной линии миллиметровой бумаги; начало линии условного горизонта располагают на одной из утолщённых вертикальных линий миллиметровки.
2.По данным пикетажного и нивелирного журналов заполняют графу расстояний, откладывая в ней горизонтальные расстояния в масштабе 1:2000. Плановое положение всех пикетов и плюсовых точек фиксируют в этой графе вертикальными отрезками. Вертикальные отрезки, обозначающие пикеты, в масштабе 1:2000 проводятся через каждые 5 см и должны попасть на утолщённые вертикальные линии миллиметровки. Под нижней линией графы расстояний, называемой линией пикетажа, подписывают номера пикетов. Пикетажные значения плюсовых точек не подписывают, но между вертикальными отрезками в графе 5 записывают горизонтальные расстояния между каждыми двумя соседними точками профиля (см. рис. 7). Если между соседними пикетами плюсовых точек нет, то расстояние 100 м в графе расстояний не записывают.
Заполняют графу фактических отметок, выписывая в нее из графы
11 нивелирного журнала отметки пронивелированных точек поверхности
земли. Фактические отметки при записи их на профиле округляют до сотых долей метра.
По фактическим отметкам строят черную линию профиля, откладывая
высоты точек в масштабе 1:200 вверх от линии условного горизонта.
Отметку условного горизонта выбирают в зависимости от фактических отме-
ток: она должна быть кратной 10 м и притом такой, чтобы самая низкая точка
профиля отстояла от линии условного горизонта не ближе чем на 4 см
(превышение на местности 8 м). Эту отметку (на рис.7 – 110 м) записывают
левее начальной точки линии условного горизонта.
Все пронивелированные точки строят на перпендикулярах к линии условного горизонта, откладывая от этой линии в масштабе 1:200 соответст-
вующие разности фактических отметок и отметки линии условного горизонта.
Для удобства построений на профиле слева можно нанести вспомогательный
вертикальный масштаб, подписав его через каждый сантиметр по вертикали
значениями отметок через 2 м, начиная от отметки условного горизонта.
Графы 1 и 6 заполняют по данным пикетажного журнала. В графе 1,
посередине ее, проводят ось дороги, условно развернутую в прямую линию,
и в масштабе 1:2000 строят план полосы местности, прилегающей к трассе.
Вместо изображения условных знаков угодий обычно пишут соответствующие
названия: «луг», «выгон» и т.д. Короткими стрелками показывают направле-
ния основных скатов местности.
Рассчитанные для обеих кривых пикетажные значения НК и КК откладывают также в масштабе 1 : 2000 на линии пикетажа. В графе 6 начало
и конец каждой кривой отмечают перпендикулярами, опущенными от этой
линии на среднюю линию графы 6, изображающую ось дороги. Вдоль пер-
пендикуляров записывают расстояния от начала или конца кривой до бли-
жайших заднего и переднего пикетов.
Кривые условно обозначают скобками, обращенными при поворотах
трассы вправо – выпуклостью вверх, а при поворотах ее влево – выпуклостью
вниз. Под каждой кривой записывают значения всех шести ее элементов.
Над серединой каждой прямой вставки трассы выписывают ее длину, а
под ней – ее румб.
Для изображения километрового указателя (на ПК 0) от линии пике-
тажа опускают перпендикуляр длиной 17 мм, на конце которого вычерчива-
ют окружность диаметром 5 мм и ее правую половину закрашивают гелевой ручкой.
Примерно в 1,5 см над линией профиля показывают положение ре-
перов. Для этого проводят вертикальные отрезки длиной около 2 см, вдоль
которых – слева и справа – записывают прямоугольные координаты репера
относительно трассы. На горизонтальной черте сверху указывают номер
репера и его отметку.
Заглавную и прочие надписи на профиле выполняют в соответствии
с образцом (см. рис. 7).
Построение поперечного профиля трассы
Поперечный профиль располагают правее продольного. Оба его
масштаба – и горизонтальный, и вертикальный – принимают одинаков-
ми (1 : 200). Сетку поперечника можно разбить на продолжении граф
продольного профиля.
Для поперечного профиля подготавливают и заполняют только
две графы: фактические отметки и расстояния.
Следует помнить, что все горизонтальные расстояния в поперечнике
указывают от оси трассируемого сооружения. На поперечном профиле
их следует откладывать вправо и влево от вертикального отрезка, обозна-
чающего в графе расстояний положение ПК 2. Последний подписывают
симметрично относительно этого отрезка под нижней линией графы рас-
стояний. Расстояния между соседними точками поперечного профиля
записывают в графе 5.
По фактическим отметкам строится линия поперечного профиля.
Отметка его линии условного горизонта может быть взята та же, что и на
продольном профиле.
Над поперечным профилем подписывают его название «Попереч-
ный профиль на ПК 2 », под чертежом указывают масштабы его построе-
ния.
studfiles.net
Журнал нивелирования
| Номера пике-тов | Отсчёты по рейкам, мм | Превышения, мм | Гори-зонт | Отметки, м | ||||
| задним | перед-ним | проме-жуточ- ным | чёрные, крас-ные | сред-ние | инстру-мента | вычис-лен-ные | урав-нен-ные | |
| ПК0 | 54,490 | 52,003 | 52,003 | |||||
| ПК1 | +1 | 52,776 | ||||||
| +38 | +2386 | +2385 | 54,388 | 54,389 | ||||
| +2384 | ||||||||
| +38 | 55,880 | |||||||
| ПК2 | 54,286 | |||||||
| +51 | +2 | 54,354 | ||||||
| ПК3 | -1029 | -1028 | 53,360 | 53,363 | ||||
| -1028 | ||||||||
| ПК3 | 53,483 | |||||||
| ПК4 | +1 | 51,460 | ||||||
| +17 | -2280 | -2282 | 51,082 | |||||
| -2284 | ||||||||
| S | -1851 | -925 | Нк - Нн = -0,925 | |||||
| -1851 |
Вследствие погрешностей измерений вычисленная высота , как правило, отличается от заданной высоты . Полученная невязка, мм:
не должна превосходить допуска , где L - длина хода, км. При числе станций n на 1 км хода более 25 допуск равен: .
Невязку распределяют в виде поправок с обратным знаком (графа 6) примерно поровну в превышения . С исправленными превышениями вычисляют уравненные высоты связующих точек (графа 9).
Для тех станций, где взяты отсчёты на промежуточные точки, вычисляют высоту горизонта инструмента:
, (15.15)
которую используют для вычисления высот промежуточных точек:
, (15.16)
где спр - отсчёт по рейке, установленной на промежуточной точке. Так, в табл. 15.1 высота горизонта инструмента на отрезке между точками +38 и ПК3 равна 54,389 + 1,491 = 55,880 м. Отметки промежуточных точек ПК2 и +51 получены вычитанием из этой высоты отсчётов 1,594 и 1,526 м и равны 54,286 и 54,354 м.
Нивелирование поперечников может выполняться в процессе нивелирования трассы, но чаще его делают отдельно. Нивелир устанавливают в таких местах, где с одной станции можно прочесть отсчёты по рейкам на возможно большем числе точек одного, двух, а то и трёх поперечников (рис. 15.9). Отсчёты берут только по чёрным сторонам реек. При этом исходной (задней) точкой служит пикет или плюсовая точка трассы. Зная её высоту, по формуле (15.15) вычисляют высоту горизонта инструмента. Например, при установке нивелира на станции А такой точкой является ПК6. Высоты точек на поперечниках вычисляют по той же формуле (15.16), что и высоты промежуточных точек на трассе.

Рис. 15.9 Нивелирование поперечников:
D - стоянки нивелира; · - точки на поперечниках
На крутых склонах и в закрытой местности приходится вдоль поперечника прокладывать короткий нивелирный ход (ПК7-Е-П15-D-П30).
Похожие статьи:
poznayka.org







